41.二叉树的层序遍历
给你二叉树的根节点 root ,返回其节点值的 层序遍历 。 (即逐层地,从左到右访问所有节点)。
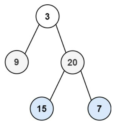
示例1:

输入:root = [3,9,20,null,null,15,7]
输出:[[3],[9,20],[15,7]]
示例2:
输入:root = [1]
输出:[[1]]
示例3:
输入:root = []
输出:[]
提示:
- 树中节点数目在范围 [0, 2000] 内
- -1000 <= Node.val <= 1000
代码:
/**
* Definition for a binary tree node.
* public class TreeNode {
* int val;
* TreeNode left;
* TreeNode right;
* TreeNode() {}
* TreeNode(int val) { this.val = val; }
* TreeNode(int val, TreeNode left, TreeNode right) {
* this.val = val;
* this.left = left;
* this.right = right;
* }
* }
*/
class Solution {
public List<List<Integer>> levelOrder(TreeNode root) {
//list用于存储层序遍历的结果
List<List<Integer>>list = new ArrayList<>();
//如果根节点为null,直接返回空的list
if(root == null)return list;
//定义队列用于层序遍历
Queue<TreeNode> q = new LinkedList<>();
//将根节点加入队列
q.add(root);
//只要队列不为空就一直遍历
while(!q.isEmpty()){
//size记录当前队列中元素的个数
int size = q.size();
//定义一个列表用于存储当前层的节点数值
List<Integer> cur = new ArrayList<>();
//处理当前队列的所有节点,即当前层的节点
while(size>0){
//取出队列中的节点
TreeNode t = q.remove();
//将当前节点的值存储cur列表
cur.add(t.val);
//如果当前节点的左孩子非空,将左孩子加入队列
if(t.left!=null)q.add(t.left);
//如果当前节点的右孩子非空,将右孩子加入队列
if(t.right!=null)q.add(t.right);
//要处理的节点个数减一
size--;
}
//将cur存入list
list.add(cur);
}
//返回list
return list;
}
}

浙公网安备 33010602011771号