40.二叉树的直径
给你一棵二叉树的根节点,返回该树的 直径 。
二叉树的 直径 是指树中任意两个节点之间最长路径的 长度 。这条路径可能经过也可能不经过根节点 root 。
两节点之间路径的 长度 由它们之间边数表示。
示例1:

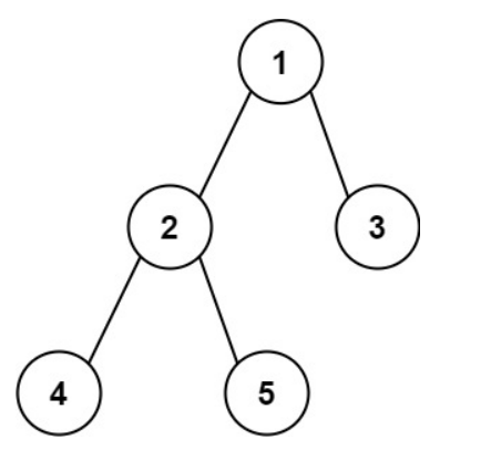
输入:root = [1,2,3,4,5]
输出:3
解释:3 ,取路径 [4,2,1,3] 或 [5,2,1,3] 的长度。
示例2:
输入:root = [1,2]
输出:1
提示:
- 树中节点数目在范围 [1, 104]内
- -100 <= Node.val <= 100
代码:
/**
* Definition for a binary tree node.
* public class TreeNode {
* int val;
* TreeNode left;
* TreeNode right;
* TreeNode() {}
* TreeNode(int val) { this.val = val; }
* TreeNode(int val, TreeNode left, TreeNode right) {
* this.val = val;
* this.left = left;
* this.right = right;
* }
* }
*/
class Solution {
//res用于记录以二叉树任意节点为起点经过节点数的最大值
int res = 1;
public int diameterOfBinaryTree(TreeNode root) {
//递归根节点
dfs(root);
//二叉树的直径,即树中任意两个节点之间最长路径的长度,就等于二叉树任意节点为起点经过节点数的最大值-1,即res-1
return res-1;
}
public int dfs(TreeNode root){
//如果当前节点为null,返回0
if(root == null)return 0;
//获取左子树的深度
int l = dfs(root.left);
//获取右子树的深度
int r = dfs(root.right);
//更新res,res即为max(res,左子树的深度+右子树的深度+1)
res = Math.max(res,l+r+1);
//返回以该节点为根的子树的深度
return Math.max(l,r)+1;
}
}

浙公网安备 33010602011771号