39.对称二叉树
给你一个二叉树的根节点 root , 检查它是否轴对称。
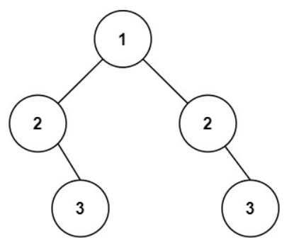
示例1:

输入:root = [1,2,2,3,4,4,3]
输出:true
示例2:

输入:root = [1,2,2,null,3,null,3]
输出:false
提示:
- 树中节点数目在范围 [1, 1000] 内
- -100 <= Node.val <= 100
代码:
1.递归代码
/**
* Definition for a binary tree node.
* public class TreeNode {
* int val;
* TreeNode left;
* TreeNode right;
* TreeNode() {}
* TreeNode(int val) { this.val = val; }
* TreeNode(int val, TreeNode left, TreeNode right) {
* this.val = val;
* this.left = left;
* this.right = right;
* }
* }
*/
class Solution {
public boolean isSymmetric(TreeNode root) {
//如果根节点为null,直接返回true
if(root == null)return true;
//调用递归函数,比较左节点、右节点
return dfs(root.left,root.right);
}
public boolean dfs(TreeNode l,TreeNode r){
//如果两个节点都为null,返回true
if(l == null&&r == null)return true;
//如果第一个节点为null,第二个节点不为null,返回false
//如果第一个节点不为null,第二个节点为null,返回false
//如果两节点的值不相等,返回false
if(l == null||r == null||l.val!=r.val)return false;
//递归比较第一个节点的左孩子和第二个节点的右孩子、第一个节点的右孩子和第二个节点的左孩子
return dfs(l.left,r.right)&&dfs(l.right,r.left);
}
}
2.非递归代码
/**
* Definition for a binary tree node.
* public class TreeNode {
* int val;
* TreeNode left;
* TreeNode right;
* TreeNode() {}
* TreeNode(int val) { this.val = val; }
* TreeNode(int val, TreeNode left, TreeNode right) {
* this.val = val;
* this.left = left;
* this.right = right;
* }
* }
*/
class Solution {
public boolean isSymmetric(TreeNode root) {
//处理头节点为null和只有头节点的情况,直接返回true
if(root == null||(root.left == null&&root.right == null))return true;
//创建队列用于保存节点
Queue<TreeNode> q = new LinkedList<>();
//将根节点的左右孩子存入队列
q.add(root.left);
q.add(root.right);
//只要当前队列不为空,就不断遍历
while(!q.isEmpty()){
//由于节点是按照正确比较顺序成对存入的,所以直接从队列中取出两个节点进行比较
TreeNode l = q.remove();
TreeNode r = q.remove();
//如果两个节点都为null,返回true
if(l == null&&r == null)continue;
//如果第一个节点为null,第二个节点不为null,返回false
//如果第一个节点不为null,第二个节点为null,返回false
//如果两节点的值不相等,返回false
if(l == null||r == null||l.val!=r.val)return false;
//将左节点的左孩子,右节点的右孩子成对存入队列
q.add(l.left);
q.add(r.right);
//将左节点的右孩子,右节点的左孩子成对存入队列
q.add(l.right);
q.add(r.left);
}
return true;
}
}

浙公网安备 33010602011771号