37.二叉树的最大深度
给定一个二叉树 root ,返回其最大深度。
二叉树的 最大深度 是指从根节点到最远叶子节点的最长路径上的节点数。
示例1:

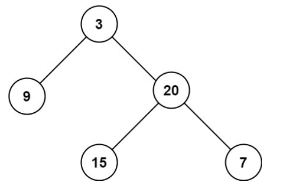
输入:root = [3,9,20,null,null,15,7]
输出:3
示例2:
输入:root = [1,null,2]
输出:2
提示:
- 树中节点的数量在 [0, 104] 区间内。
- -100 <= Node.val <= 100
代码:
1.深度优先遍历
/**
* Definition for a binary tree node.
* public class TreeNode {
* int val;
* TreeNode left;
* TreeNode right;
* TreeNode() {}
* TreeNode(int val) { this.val = val; }
* TreeNode(int val, TreeNode left, TreeNode right) {
* this.val = val;
* this.left = left;
* this.right = right;
* }
* }
*/
class Solution {
public int maxDepth(TreeNode root) {
//如果当前节点为null,则二叉树的深度为0,直接返回0
if(root == null)return 0;
else{
//获取当前节点左节点的深度
int left = maxDepth(root.left);
//获取当前节点右节点的深度
int right = maxDepth(root.right);
//当前节点的最大深度 = Max(左节点深度,右节点深度)+ 1
return Math.max(left,right)+1;
}
}
}
2.广度优先遍历
/**
* Definition for a binary tree node.
* public class TreeNode {
* int val;
* TreeNode left;
* TreeNode right;
* TreeNode() {}
* TreeNode(int val) { this.val = val; }
* TreeNode(int val, TreeNode left, TreeNode right) {
* this.val = val;
* this.left = left;
* this.right = right;
* }
* }
*/
class Solution {
public int maxDepth(TreeNode root) {
//如果当前节点为null,直接返回0
if(root==null)return 0;
//res用于记录二叉树的最大深度
int res=0;
//定义队列来进行深度优先遍历
Queue<TreeNode>q = new LinkedList<>();
//将头节点加入队列
q.add(root);
//只要队列不为空,就不断进行遍历
while(!q.isEmpty()){
//size为当前队列元素个数,实际上就是二叉树当前层节点的个数
int size = q.size();
//处理当前层的所有节点
while(size>0){
//t用于记录当前节点
TreeNode t = q.remove();
//如果当前节点左节点不为空,将左节点加入队列
if(t.left!=null)q.add(t.left);
//如果当前节点右节点不为空,将右节点加入队列
if(t.right!=null)q.add(t.right);
//当前层节点个数减一
size--;
}
//只有当前层节点全部处理完毕,深度才加1
res++;
}
//返回二叉树的最大深度
return res;
}
}

浙公网安备 33010602011771号