36.二叉树的中序遍历
给定一个二叉树的根节点 root ,返回 它的 中序 遍历 。
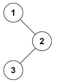
示例1:

输入:root = [1,null,2,3]
输出:[1,3,2]
示例2:
输入:root = []
输出:[]
示例3:
输入:root = [1]
输出:[1]
提示:
- 树中节点数目在范围 [0, 100] 内
- -100 <= Node.val <= 100
代码:
/**
* Definition for a binary tree node.
* public class TreeNode {
* int val;
* TreeNode left;
* TreeNode right;
* TreeNode() {}
* TreeNode(int val) { this.val = val; }
* TreeNode(int val, TreeNode left, TreeNode right) {
* this.val = val;
* this.left = left;
* this.right = right;
* }
* }
*/
class Solution {
public List<Integer> inorderTraversal(TreeNode root) {
//res列表用于存储中序遍历节点的值
List<Integer>res = new ArrayList<Integer>();
//递归中序遍历二叉树
inorder(root,res);
//返回结果
return res;
}
public void inorder(TreeNode root,List<Integer>res){
//如果当前节点为null,直接返回
if(root == null)return;
//递归遍历当前节点的左节点
inorder(root.left,res);
//将当前节点的值加入列表
res.add(root.val);
//递归当前节点的右节点
inorder(root.right,res);
}
}

浙公网安备 33010602011771号