27.环形链表II
给定一个链表的头节点 head ,返回链表开始入环的第一个节点。 如果链表无环,则返回 null。
如果链表中有某个节点,可以通过连续跟踪 next 指针再次到达,则链表中存在环。 为了表示给定链表中的环,评测系统内部使用整数 pos 来表示链表尾连接到链表中的位置(索引从 0 开始)。如果 pos 是 -1,则在该链表中没有环。注意:pos 不作为参数进行传递,仅仅是为了标识链表的实际情况。
不允许修改 链表。
示例1:

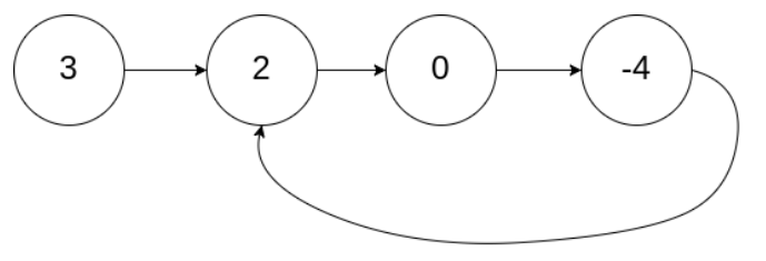
输入:head = [3,2,0,-4], pos = 1
输出:返回索引为 1 的链表节点
解释:链表中有一个环,其尾部连接到第二个节点。
示例2:

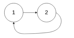
输入:head = [1,2], pos = 0
输出:返回索引为 0 的链表节点
解释:链表中有一个环,其尾部连接到第一个节点。
示例3:

输入:head = [1], pos = -1
输出:返回 null
解释:链表中没有环。
提示:
- 链表中节点的数目范围在范围 [0, 104] 内
- -105 <= Node.val <= 105
- pos 的值为 -1 或者链表中的一个有效索引
代码:
/**
* Definition for singly-linked list.
* class ListNode {
* int val;
* ListNode next;
* ListNode(int x) {
* val = x;
* next = null;
* }
* }
*/
public class Solution {
public ListNode detectCycle(ListNode head) {
//定义节点,用于表示链表开始入环的第一个节点,如果无环,则为null
ListNode list = null;
//定义哈希表,用于判断是否存在环
Set<ListNode>set = new HashSet<>();
//遍历链表
while(head!=null){
//如果当前节点在哈希表中已经存在,说明出现了环,将list指向当前节点,退出循环
if(set.contains(head)){
list = head;
break;
}
//将当前节点加入哈希表
set.add(head);
//当前节点向后移
head = head.next;
}
//返回结果
return list;
}
}

浙公网安备 33010602011771号