25.环形链表I
给你一个链表的头节点 head ,判断链表中是否有环。
如果链表中有某个节点,可以通过连续跟踪 next 指针再次到达,则链表中存在环。 为了表示给定链表中的环,评测系统内部使用整数 pos 来表示链表尾连接到链表中的位置(索引从 0 开始)。注意:pos 不作为参数进行传递 。仅仅是为了标识链表的实际情况。
如果链表中存在环 ,则返回 true 。 否则,返回 false 。
示例1:

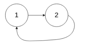
输入:head = [3,2,0,-4], pos = 1
输出:true
解释:链表中有一个环,其尾部连接到第二个节点。
示例2:

输入:head = [1,2], pos = 0
输出:true
解释:链表中有一个环,其尾部连接到第一个节点。
示例3:

输入:head = [1], pos = -1
输出:false
解释:链表中没有环。
提示:
- 链表中节点的数目范围是 [0, 104]
- -105 <= Node.val <= 105
- pos 为 -1 或者链表中的一个 有效索引 。
代码:
/**
* Definition for singly-linked list.
* class ListNode {
* int val;
* ListNode next;
* ListNode(int x) {
* val = x;
* next = null;
* }
* }
*/
public class Solution {
public boolean hasCycle(ListNode head) {
//定义一个哈希表存储链表节点
Set<ListNode>set = new HashSet<>();
//遍历链表
while(head != null){
//如果当前节点已经被存储在哈希表中,说明当前节点已经被遍历过,说明存在环,直接返回true
if(set.contains(head))return true;
//将当前节点存储到哈希表中
set.add(head);
//当前指针往后移
head = head.next;
}
return false;
}
}

浙公网安备 33010602011771号