数据分析第三次作业
#7-1对数据进行基本的探索 #返回缺失值个数以及最大、最小值 import pandas as pd datafile="D:/数据分析/air_data.csv" resultfile="D:/数据分析/explore.csv" data=pd.read_csv(datafile,encoding='utf-8') explore=data.describe(percentiles=[],include='all').T explore['null']=len(data)-explore['count'] explore=explore[['null','max','min']] explore.columns=[u'空值数',u'最大值',u'最小值'] explore.to_csv(resultfile)
#7-2探索客户的基本信息分布情况 from datetime import datetime import matplotlib.pyplot as plt ffp=data['FFP_DATE'].apply(lambda x:datetime.strptime(x,'%Y/%m/%d')) ffp_year=ffp.map(lambda x:x.year) fig=plt.figure(figsize=(8,5)) plt.rcParams['font.sans-serif']='SimHei' plt.rcParams['axes.unicode_minus']=False plt.hist(ffp_year,bins='auto',color='#0504aa') plt.xlabel('年份') plt.ylabel('入会人数') plt.title('学号3108各年份会员入会人数') plt.show() plt.close male=pd.value_counts(data['GENDER'])['男'] female=pd.value_counts(data['GENDER'])['女'] fig=plt.figure(figsize=(7,4)) plt.pie([male,female],labels=['男','女'],colors=['lightskyblue','lightcoral'],autopct='%1.1f%%') plt.title('学号3108会员性别比例') plt.show() plt.close lv_four=pd.value_counts(data['FFP_TIER'])[4] lv_five=pd.value_counts(data['FFP_TIER'])[5] lv_six=pd.value_counts(data['FFP_TIER'])[6] fig=plt.figure(figsize=(8,5)) plt.bar(x=range(3),height=[lv_four,lv_five,lv_six],width=0.4,alpha=0.8,color='skyblue') plt.xticks([index for index in range(3)],['4','5','6']) plt.xlabel('会员等级') plt.ylabel('会员人数') plt.title('学号3108会员各级别人数') plt.show() plt.close() age=data['AGE'].dropna() age=age.astype('int64') fig=plt.figure(figsize=(5,10)) plt.boxplot(age, patch_artist=True, labels=['会员年龄'], boxprops={'facecolor':'lightblue'}) plt.title('学号3108会员年龄分布箱型图') plt.grid(axis='y') plt.show() plt.close





#7-3 lte=data['LAST_TO_END'] fc=data['FLIGHT_COUNT'] sks=data['SEG_KM_SUM'] fig=plt.figure(figsize=(5,8)) plt.boxplot(lte, patch_artist=True, labels=['时长'], boxprops={'facecolor':'lightblue'}) plt.title('学号3108会员最后乘机至结束时长分布箱型图') plt.grid(axis='y') plt.show() plt.close fig=plt.figure(figsize=(5,8)) plt.boxplot(fc, patch_artist=True, labels=['飞行次数'], boxprops={'facecolor':'lightblue'}) plt.title('学号3108会员飞行次数分布箱型图') plt.grid(axis='y') plt.show() plt.close fig=plt.figure(figsize=(5,10)) plt.boxplot(sks, patch_artist=True, labels=['总飞行公里数'], boxprops={'facecolor':'lightblue'}) plt.title('学号3108客户总飞行公里数箱型图') plt.grid(axis='y') plt.show() plt.close



#7-4 ec=data['EXCHANGE_COUNT'] fig=plt.figure(figsize=(8,5)) plt.hist(ec,bins=5,color='#0504aa') plt.xlabel('兑换次数') plt.ylabel('会员人数') plt.title('学号3108会员兑换积分次数分布直方图') plt.show() plt.close ps=data['Points_Sum'] fig=plt.figure(figsize=(5,8)) plt.boxplot(ps, patch_artist=True, labels=['总累计积分'], boxprops={'facecolor':'lightblue'}) plt.title('学号3108客户总累计积分箱型图') plt.grid(axis='y') plt.show() plt.close


#7-5 data_corr=data[['FFP_TIER','FLIGHT_COUNT','LAST_TO_END','SEG_KM_SUM','EXCHANGE_COUNT','Points_Sum']] age1=data['AGE'].fillna(0) data_corr['AGE']=age1.astype('int64') data_corr['ffp_year']=ffp_year dt_corr=data_corr.corr(method='pearson') print('学号3108相关性矩阵为:\n',dt_corr) import seaborn as sns plt.subplots(figsize=(10,10)) sns.heatmap(dt_corr,annot=True,vmax=1,square=True,cmap='Blues') plt.title('学号3108') plt.show() plt.close


#7-6 import numpy as np import pandas as pd datafile="D:/数据分析/air_data.csv" cleanedfile="D:/数据分析/data_cleaned.csv" airline_data=pd.read_csv(datafile,encoding='utf-8') print('3108原始数据的形状为:',airline_data.shape) airline_notnull=airline_data.loc[airline_data['SUM_YR_1'].notnull()& airline_data['SUM_YR_2'].notnull(),:] print('3108删除缺失记录后数据的形状为:',airline_notnull.shape) index1=airline_notnull['SUM_YR_1']!=0 index2=airline_notnull['SUM_YR_2']!=0 index3=(airline_notnull['SEG_KM_SUM']>0)&(airline_notnull['avg_discount']!=0) index4=airline_notnull['AGE']>100 airline=airline_notnull[(index1|index2)&index3&~index4] print('3108数据清洗后数据的形状为:',airline.shape) airline.to_csv(cleanedfile)

#7-7 import pandas as pd import numpy as np cleanedfile="D:\数据分析\data_cleaned.csv" airline=pd.read_csv(cleanedfile,encoding='utf-8') airline_selection=airline[['FFP_DATE','LOAD_TIME','LAST_TO_END', 'FLIGHT_COUNT','SEG_KM_SUM','avg_discount']] print('筛选的属性前5行为:\n',airline_selection.head())

# 7-8构造属性工 L= pd.to_datetime(airline_selection['LOAD_TIME']) - \ pd.to_datetime(airline_selection['FFP_DATE']) L= L.astype('str').str.split().str[0] I= L.astype('int')/30 #合并属性 airline_features = pd.concat([L,airline_selection.iloc[:,2:]],axis=1) print('构建的LRFMC属性前5行为:\n',airline_features.head()) # 数据标准化 from sklearn.preprocessing import StandardScaler data = StandardScaler().fit_transform(airline_features) np.savez('D:/数据分析/airline_scale.npz',data) print('标准化后LREMC 5个属性为:\n',data[:5,:])

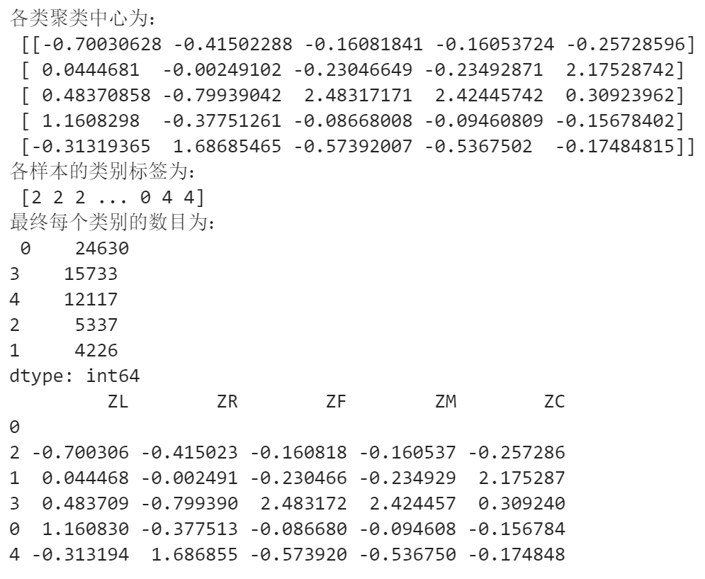
#7-9 import pandas as pd import numpy as np from sklearn.cluster import KMeans # 导入kmeans算法 # 读取标准化后的数据 airline_scale = np.load('D:/数据分析/airline_scale.npz')['arr_0'] k = 5 # 确定聚类中心数 # 构建模型,随机种子设为123 kmeans_model = KMeans(n_clusters = k,random_state=123) fit_kmeans = kmeans_model.fit(airline_scale) # 模型训练 # 查看聚类结果 kmeans_cc = kmeans_model.cluster_centers_ # 聚类中心 print('各类聚类中心为:\n',kmeans_cc) kmeans_labels = kmeans_model.labels_ # 样本的类别标签 print('各样本的类别标签为:\n',kmeans_labels) r1 = pd.Series(kmeans_model.labels_).value_counts() # 统计不同类别样本的数目 print('最终每个类别的数目为:\n',r1) # 输出聚类分群的结果 cluster_center = pd.DataFrame(kmeans_model.cluster_centers_,\ columns = ['ZL','ZR','ZF','ZM','ZC']) # 将聚类中心放在数据框中 cluster_center.index = pd.DataFrame(kmeans_model.labels_ ).\ drop_duplicates().iloc[:,0] # 将样本类别作为数据框索引 print(cluster_center)

# 7-10客户分群雷达图 import matplotlib.pyplot as plt labels = ['ZL','ZR','ZF','ZM','ZC'] legen = [' 客户群' + str(i + 1) for i in cluster_center.index] # 客户群命名,作为雷达图的图例 lstype = ['-','--',(0, (3, 5, 1, 5, 1, 5)),':','-.'] kinds = list(cluster_center.iloc[:, 0]) # 由于雷达图要保证数据闭合,因此再添加L列,并转换为 np.ndarray cluster_center = pd.concat([cluster_center, cluster_center[['ZL']]], axis=1) centers = np.array(cluster_center.iloc[:, 0:]) # 分割圆周长,并让其闭合 n = len(labels) angle = np.linspace(0, 2 * np.pi, n, endpoint=False) angle = np.concatenate((angle, [angle[0]])) # 绘图 fig = plt.figure(figsize = (8,6)) ax = fig.add_subplot(111, polar=True) # 以极坐标的形式绘制图形 plt.rcParams['font.sans-serif'] = ['SimHei'] # 用来正常显示中文标签 plt.rcParams['axes.unicode_minus'] = False # 用来正常显示负号 # 画线 for i in range(len(kinds)): ax.plot(angle, centers[i], linestyle=lstype[i], linewidth=2, label=kinds[i]) # 添加属性标签 labels = labels.append(pd.Index(labels)) #添加多 第一个标签 ax.set_thetagrids(angle * 180 / np.pi, labels) plt.title('学号3108客户特征分析雷达图') plt.legend(legen) plt.show() plt.close

浙公网安备 33010602011771号