7-3 树的同构 (25 分)
7-3 树的同构 (25 分)
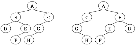
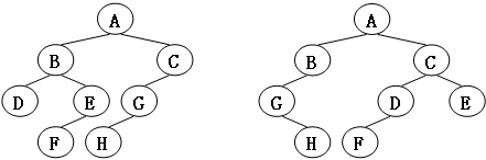
给定两棵树T1和T2。如果T1可以通过若干次左右孩子互换就变成T2,则我们称两棵树是“同构”的。例如图1给出的两棵树就是同构的,因为我们把其中一棵树的结点A、B、G的左右孩子互换后,就得到另外一棵树。而图2就不是同构的。
现给定两棵树,请你判断它们是否是同构的。
输入格式:
输入给出2棵二叉树树的信息。对于每棵树,首先在一行中给出一个非负整数N (≤10),即该树的结点数(此时假设结点从0到N−1编号);随后N行,第i行对应编号第i个结点,给出该结点中存储的1个英文大写字母、其左孩子结点的编号、右孩子结点的编号。如果孩子结点为空,则在相应位置上给出“-”。给出的数据间用一个空格分隔。注意:题目保证每个结点中存储的字母是不同的。
输出格式:
如果两棵树是同构的,输出“Yes”,否则输出“No”。
输入样例1(对应图1):
8
A 1 2
B 3 4
C 5 -
D - -
E 6 -
G 7 -
F - -
H - -
8
G - 4
B 7 6
F - -
A 5 1
H - -
C 0 -
D - -
E 2 -
输出样例1:
Yes
输入样例2(对应图2):
8
B 5 7
F - -
A 0 3
C 6 -
H - -
D - -
G 4 -
E 1 -
8
D 6 -
B 5 -
E - -
H - -
C 0 2
G - 3
F - -
A 1 4
输出样例2:
No
本题需要注意在储存树的时候需要找出根节点
#include<iostream>
#include<cstdio>
#include<cstring>
using namespace std;
typedef struct TNode{ //如果左右孩子不存在则为-1
char node;
int left;
int right;
};
struct TNode tree1[100];
struct TNode tree2[100];
int createTree(struct TNode tree[])
{
int n;
cin>>n;
int notRoot[100] = {0}; //记录哪些节点作为了子节点出现
for(int i = 0;i<n;i++)
{
char node,l,r;
getchar();
scanf("%c %c %c",&node,&l,&r);
tree[i].node = node;
if(l=='-')
tree[i].left = -1;
else
{
tree[i].left = l-'0';
notRoot[l-'0'] = 1; //l节点作为了node的子节点
}
if(r=='-')
tree[i].right = -1;
else
{
tree[i].right = r-'0';
notRoot[r-'0'] = 1; //r节点作为了node的子节点
}
}
int root = -1;
for(int i = 0;i<n;i++)
{
if(notRoot[i]==0)
{
root = i;
break;
}
}
return root;
}
int Judge(int root1,int root2) //从两个根节点开始判断
{
if(root1==-1&&root2==-1)//递归到最后的终止条件
return 1;
if(root1==-1&&root2!=-1||root1!=-1&&root2==-1)
return 0;
if(tree1[root1].node!=tree2[root2].node)
return 0;
if(tree1[tree1[root1].left].node == tree2[tree2[root2].left].node) //如果有一个孩子对应相等,则判断另一个
return Judge(tree1[root1].right,tree2[root2].right);
else //如果不对应相等,则判断交换后的是否相等
return Judge(tree1[root1].left,tree2[root2].right)&&Judge(tree1[root1].right,tree2[root2].left);
}
int main()
{
int root1;
root1 = createTree(tree1);
int root2;
root2 = createTree(tree2);
if(Judge(root1,root2))
cout<<"Yes"<<endl;
else{
cout<<"No"<<endl;
}
return 0;
}



浙公网安备 33010602011771号