欧式距离、曼哈顿距离
欧式距离也称为欧几里得距离,是最常见的距离度量,是多维空间中两个点之间之间的绝对距离
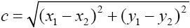
欧式距离公式为 
曼哈顿距离也称为出租车距离,是用以标名在标准坐标系上的绝对轴距总和。

图片上绿色线为欧氏距离,其他线都是曼哈顿距离。
曼哈顿距离为 
从公式上看 曼哈顿距离一定是一个非负数,距离最小的情况就是两个点重合,距离为0,
曼哈顿距离只需要做加减法,计算量比较小,
欧式距离也称为欧几里得距离,是最常见的距离度量,是多维空间中两个点之间之间的绝对距离
欧式距离公式为 
曼哈顿距离也称为出租车距离,是用以标名在标准坐标系上的绝对轴距总和。

图片上绿色线为欧氏距离,其他线都是曼哈顿距离。
曼哈顿距离为 
从公式上看 曼哈顿距离一定是一个非负数,距离最小的情况就是两个点重合,距离为0,
曼哈顿距离只需要做加减法,计算量比较小,