神经网络中的损失函数
------------------------原文 https://blog.csdn.net/qq_34886403/article/details/83280726 ---------------------------
损失函数可以两大类:分类和回归。
回归损失:
1 L1loss L1损失
L1损失,也称为平均绝对误差MAE,简单地说就是计算输出值与真实值之间的绝对值大小。这种度量方法在不考虑方向的情况下衡量误差大小。和MSE的不同之处在于,MAE需要线性规划这种复杂的工具来计算梯度。同时 MAE对异常值更加稳健,因为他不需要平方。
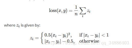
2 SMOOTHLoss
L1Loss的平滑版,如果绝对值误差低于1则使用平方项的标准,否则L1项。它对异常值的敏感低于MSELoss

3 MSELoss L2损失
均方误差,预测值与实际观测值间的平方的均值。它值考虑误差的平均大小,不考虑其方向。但由于经过平方,与真实值偏离较多的预测值会受到更加严重的惩罚,同时MSE的数学特性很好,梯度更变的容易。
4 MBELoss
与L1损失很相似,唯一不同的是 没有绝对值,可以确定存在正偏差还是负偏差。
鲁棒性:
因为与最小平方相比,最小绝对值偏差方法的鲁棒性更好,因此,它在许多场合都有应用。最小绝对值偏差之所以是鲁棒的,是因为它能处理数据中的异常值。这或许在那些异常值可能被安全地和有效地忽略的研究中很有用。如果需要考虑任一或全部的异常值,那么最小绝对值偏差是更好的选择。
从直观上说,因为L2范数将误差平方化(如果误差大于1,则误差会放大很多),模型的误差会比L1范数来得大( e vs e^2 ),因此模型会对这个样本更加敏感,这就需要调整模型来最小化误差。如果这个样本是一个异常值,模型就需要调整以适应单个的异常值,这会牺牲许多其它正常的样本,因为这些正常样本的误差比这单个的异常值的误差小。
稳定性:
最小绝对值偏差方法的不稳定性意味着,对于数据集的一个小的水平方向的波动,回归线跳跃很大。
分类损失:
1 CrossEntropyLoss
交叉熵误差,常用在分类问题。随着预测概率偏离实际标签,交叉熵会逐渐增加。他将nn.LogSoftmax() 和nn.NLLLoss组合在一个单独的类中。所示使用它并不需要在网络中加入softmax 。在多分类任务中,他非常有用。它具有可选参数权重。
2 NLLLoss
负对数似然损失函数。在前面LogSoftMax 就等价于CrossEntropyLoss,在多分类任务中很有用。

浙公网安备 33010602011771号