现代信号处理技术(一)信号的分类和正交分解
1.信号的分类
按照信号随自变量时间的取值特点,信号可分为连续时间信号(模拟信号)和离散时间信号(如果满足信号取值为某个量值的整数倍这一条件就是数字信号)。工程中常用的信号分类是按照信号取值随时间变化的特点分类的。从这一角度出发,信号可以分为确定性信号和随机信号两大类。确定性信号的所有参数都已经确定,并且能够用确定性图形、曲线或数学解析式准确描述。该类信号对于给定的某一时刻,都有确定的取值。比如单位阶跃信号、单摆运动等。不能用明确的数学表达式来描述的、具有随机性的信号称为随机信号。这里的随机性是指信号在某个时刻的取值,在该时刻以前是不可准确预知。如机床噪声信号等,生活中随处可见的都是随机信号,我们实际上也主要是和随机信号打交道。
确定性信号描述比较简单,用周期来就可以了。但是因为随机信号描述的物理过程具有不可重复性和不可预测性。因而,随机信号不能用确定性函数来描述,因为信号波形表面看来没有规律。
那么我们怎么描述随机信号呢?
实际上随机有一定的统计规律性。统计特征是随机信号的基本特征,因此我们常用概率分布函数和概论密度函数来描述。
若总体样本集合中的各个样本函数在任一时刻的平均值及其它的全部统计特征参数(如概率密度函数、方差、自相关函数、高阶矩等)均不随时间的变化而变化,那么我们就称该随机过程为强平稳的或严格平稳的 。若总体样本集合中的各个样本函数在某一时刻的平均值和方差不随时间变化时,那么随机过程称为是弱平稳的。如果都会在变的话,那就是非平稳的。因此我们打交道最多的也就是非平稳随机信号。
2.信号的正交分解
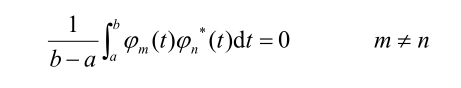
函数正交是指一个函数系,其中每个函数都定义在区间 [ a , b ] 上的实函数或实变量的复值函数,如果满足
称该函数系为区间 [ a , b ] 上的正交函数系,式中 ∗ 表示共轭。如果还满足
就称该函数系为区间[ a , b ]上的标准(规范)正交函数系。
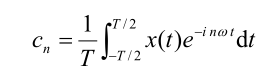
现在让我们来看看傅里叶级数:
在[-T/2,T/2]处满足Dirichlet条件的且平方可积的函数都能写成傅里叶级数的形式,
其中常数Cn是傅里叶系数,定义为
傅里叶分析之所以对正弦频率有十分理想的定位能力,这是因为傅里叶分析中采用的基函数,是具有正交性的三角函数系(正弦或余弦)。这种正交性是指三角函数系中任意两个不同函数的乘积,在区间[-π,π]的积分均为零,而函数系中任意一个函数的平方在区间[-π,π]的积分不为零。因此傅里叶变换的重要之处就是,它的本质就是信号与三角基函数相乘再积分,借助正交性将信号中的正弦分量以频率、幅值和相位三个物理量表征出来,达到正弦分量的独立化提取。以后要介绍的小波变换也是一样的,它们的不同就在于傅里叶变换中基函数是唯一的三角基函数,而在小波变换中基函数却不是唯一的,只要具有振荡、紧支特性,满足允许条件的函数都可以作为小波基函数。关于小波变换将在后续的文章里再详谈。





浙公网安备 33010602011771号