marking一下,怕某一天原文被删除了。。

 

-------------------------------------------------------------------

 

基于每日用户搜索内容,假设只有少量已知商品的情况下,如何根据用户搜索内容获取平台内没有的新商品?

 

 

答案:这是一条类似于分词“新词获取问题”,答案是基于信息熵+聚合度。

 

这边需要考虑排除,首先做stop词库,先去除形容词等。

 

信息熵:比如用户搜索“曲面显示屏 白色”,假设现在我们的商品库中没有显示屏这个商品,我们需要判断“显示屏”是否是潜在的商品,我们需要考虑“显示屏”左词、右词出现的可能。换句话说,如果大家都在搜索“显示屏”商品的话,会出现大量的“便宜显示屏”、“可旋转显示屏”、“显示屏 黑色”等搜索短语,根据信息熵计算公式-p∑logp,“显示屏”前后出现的词语类别越多,信息熵越大,代表用户搜索的需求越旺盛,“显示屏”越有可能是没有的商品。

聚合度:根据信息熵的理论也会出现“显示”等高频出现的干扰词,再用聚合度,比如先计算出p(“显示”)、p(“屏”)、或p(“显”)、p(“示屏”)的概率,如果“显示”是一个高频合理的搜索词的话,p(“显示”)*p(“屏”)应该远远大于p(“显示屏”),p(“显”)*p(“示屏”)应该远远大于p(“显示屏”)的概率,而实际电商搜索中,用户连贯搜索“显示屏”的概率才是远超其它。

 

2

为什么logistic回归的要用sigmoid函数?优缺点?

 

答案:

优点:

1.数据压缩能力,将数据规约在[0,1]之间
2.导数形式优秀,方便计算

 

缺点:

 

1.容易梯度消失,x稍大的情况下就趋近一条水平线
2.非0中心化,在神经网络算法等情况下,造成反向传播时权重的全正全负的情况。

 

为什么要用?

 

答案1: logistic是基于Bernoulli分布的假设,也就是y|X~Bernoulli分布,而Bernoulli分布的指数族的形式就是1/(1+exp(-z))

 

其实还有一个答案二,我当时没想起来,如就是:
对于logistic多分类而言,
x1、x2、...、xn,属于k类的概率正比于:

 

我们回到2类:
x1、x2、...xn属于1的概率是:

 

分子分母同除以分子极为1/(1+exp(-z)),z=w11-w01,个人觉得这样的证明才有说服力

 

3

对比牛顿法、梯度下降法的关系

 

讲真,大学学完牛顿法就丢了,一时没回答出来,回来整理如下:

 

答案:牛顿法快于梯度下降法,且是梯度下降法的极限。

 

首先,我们有展开式:
f′(x+Δx)=f′(x)+f″(x)∗Δx
Δx=−μ∗f′(x)
合并两个式子,有:
f′(x+Δx)=f′(x)+f″(x)∗(−μ∗f′(x))
令f′(x+Δx)=0,
μ=1/f″(x),极为牛顿法在随机梯度下降中的μ

 

4

两个盒子,50个红球,50个白球,问如何放球,抽到红球的概率最高?(每个盒子必须有球)

 

答案:一个盒子1个红球,另外一个盒子剩余的99个球

先假设第一个盒子放x个红球,y个白球,另外的一个盒子里面就有50-x红球,50-y个白球.
求的目标函数:p=1/2(x/(x+y))+1/2((50-x)/(100-x-y))
subject to. x+y>0 & 100-x-y>0

 

常规解法如上,被坑了一手的是,面试的说没有常规解,我回来思考了半天,可能是盒子里面的排练顺序有差异,上层的抽取概率>下层的抽取概率,所以需要通过EM算法,先得到若干次抽取的结果下,每层的最大概率密度函数,再结合上述的结果去回答。

 

 

5

常见的正则化有是么,有什么作用,为什么l1是会把feature压缩到0而l2做不到?

答案:

(1)l1,l2正则化
l1对应python里面numpy.linalg.norm(ord=1)
形如|w1|+|w2|+|w3|+...
l2对应python里面numpy.linalg.norm(ord=2)
形如w12+w22+w3^2+...

 

(2)防止过拟合
其它防止过拟合的方法还有:
1.增加数据量
2.采取bagging算法,抽样训练数据
**


(3)画图解决

 


左边的l1,右边的l2,
l1在作图只要不是特殊情况下与正方形的边相切,一定是与某个顶点优先相交,那必然存在横纵坐标轴中的一个系数为0,起到对变量的筛选的作用。


l2的时候,其实就可以看作是上面这个蓝色的圆,在这个圆的限制下,点可以是圆上的任意一点,所以q=2的时候也叫做岭回归,岭回归是起不到压缩变量的作用的,在这个图里也是可以看出来的。

 

 

6

 

 

分类模型如何选择?如何判断效果?如何计算AUC?你最熟悉的ensemble Classification model是什么?

 

我这边参考了《Do we Need Hundreds of Classifiers to Solve Real World Classification Problems》里面的结论,有兴趣的自行去搜。

 

答案

整体上讲:数据量越大,神经网络越好;维度越多,bagging算法越优秀;数据量上不多不少的情况下,SVM效果最好;


常用判断:roc、auc、ks、f1值、recall等;


AUC计算方法:roc曲线下方的面积积分即可,或者大数定律的投点实验

 

最熟悉的集成分类模型,我说的是randomforest,详述了原理及实际应用的注意点,后来我问了面试管,主要在这块想了解的是实际解决的相关项目的真实性:


1、randomforest是由若干颗cart树构成的,每棵树尽情生长不枝剪,最后采取加权投票或者均值的方式确定输出值;


2、每棵树的数据是采取bagging式的随机抽取特征及数据样本,两颗树之间的数据有可能会重复;


3、一般流程会先以sqrt(feature_number)作为每次输入的特征数,采取grid_search的方法观察tree的数量由0-500,oob的变化
这边被打断了,解释什么叫做oob,也就是out of bag,每次抽取的数据样本进行训练,没有被抽取到的数据作为检验样本,检验样本上的误差就叫做oob;


4、根据实际要求的精度上后期可以跟进调整:每次输入的特征个数、每棵树的最大深度、每个节点的分支方式(GINI还是信息增益率)、子节点最少数据量、父节点最少数据量等等。


这边又被打断了,问,什么叫做信息增益率?


首先熵的计算如下:

 

信息增益如下:

 

 

 

比如14个人,好人5个坏人9个。这14个人被通过性别划分开,10个男性中3个坏人,7个好人;4个女性中2个坏人,2个好人。

 

信息增益就是:


IGain=(-5/14)log(5/14)+(-9/14)log(9/14)-(10/14(-3/10log(3/10)-7/10log(7/10))+4/14(-1/2log(1/2)-1/2log(1/2)))


看到这样的计算方式,必然会存在问题,假设我们身份证为区分类别的化,每个身份证号码都是独一无二的,势必存在存在1/n*log(1)=0这样的最佳划分,但是这样的结果就是将所有的情况分别作为子节点,很明显没有意义,所以引出下面的信息增益率。

 

信息增益率就是:

 

 

比如上面分人的例子,Info=-10/14log(10/14)-4/14log(4/14)
很明显也可以看出,当你划分的子类别越多,你的info会越大,Gain_ratio就越小,信息增益率就越低,惩罚了刚才身份证分类这种行为。

 

这也是id3和c4.5之间最大的差异,c4.5以信息增益率代替率id3里面的信息增益,除此之外,id3只能对分类变量处理而c4.5既可以分类变量也可以连续变量,还是很强的,同时他们都可以做多分类,而后续的cart等做多分类的成本会增加(叠加的方式)。

 

其实,这些都很基础但是时间长了,真的很绕人,我也是先自己默默的在纸上画了挺久才和面试管聊,有点出乎我的意料。

 

 

7

循环神经网络中介绍一个你熟悉的?

 

 

我说的是LSTM。


首先,先跑出了循环的机制,同时点明了RNN潜在隐藏节点对output的影响,做了下图:

 

 

当前的预测结果,与input及上次的layer1节点下的结果相关。

 

正向循环:
节点1的值 = sigmoid(np.dot(输入参数,神经元1) + np.dot(上次节点1的值,潜在神经元))
输出值=sigmoid(np.dot(节点1的值,神经元2))

 

误差计算:
真实y-输出值

 

delta:
节点2处的deltas=误差计算*sigmoid(np.dot(节点1的值,神经元2))/(1-sigmoid(np.dot(节点1的值,神经元2)))

 

反向修正神经元:
神经元2 += (节点1的值).T.dot(节点2处的delta)
潜藏神经元 += (上次的节点1的值).T.dot(节点1处的delta)
神经元1 += 输入值.T.dot(节点1处的delta)

 

核心强调了:sigmoid(np.dot(输入参数,神经元1) + np.dot(上次节点1的值,潜在神经元)),输出值与输出值及上次节点1处的输入值有关。


然后讲了简单的在语义识别的实际作用。

 

8

kmeans的原理及如何选择k?如何选择初始点?

 

原理是送分题。


原理:在给定K值和K个初始类簇中心点的情况下,把每个点(亦即数据记录)分到离其最近的类簇中心点所代表的类簇中,优点在于易于理解和计算,缺点也是很明显,数据一多的情况计算量极大,且标签feature定义距离的难度大。

 

K的选择,我答的一般,欢迎大家补充,


1、根据具体的业务需求,实际需求确定最后聚成的类的个数


2、grid_search去试,看那种距离下,损失函数最小(其实这样回答不好,数据量大的情况下,机会不可能)
这边的损失函数类别较多,可能包括组内间距和/组外间距和等


3、随机抽样下的层次聚类作为预参考
理论上,随机采样的数据分布满足原来的数据集的分布,尤其是大量采样次数下的情况,针对每一个较小的数据集合采取层次聚类确定最后的聚类个数,再针对原始的数据集合进行kmeans聚类

 

如何选取初始点?


这个问题我被问过好多次,其实,不管是r或者python里面,或者大家日常使用中都是默认的随机选取,然后通过多次k-折等方法不断的去迭代,其实这样存在的问题就是如果初始点随机选取的有误,导致无论这么迭代都得不到最优的点,如:

 

随机初始点

 

修正初始点

 

在随机初始点的情况下,红色区域的部分点被蓝色和绿色侵占为己点,修正初始点,也就是将随机初始点的聚类中心全部上移的情况下,蓝色点区收回了原属于自己的点区。


之前我恶补过一片论文:《K-means 初始聚类中心的选择算法》,里面提出了两个指标来衡量:


1.k-dist

 

 

某个点 p 到它的第k 个最近点的距离为点 p 的 k-dist 值。点的 k-dist 半径范围内至少包含k + 1 个点,理论上同一个聚类中改变k值不会引起k-dist值明显变化。将 k-dist 值由小到大排序,a、b、c表示平缓点,d,e,f为跃迁点。


2.DK图

 


k-dist 图中相邻两点的 k-dist 值之差记为 DK。k-dist 图中相邻两点pm和pm-1的 k-dist的差为DKm=k-distm -k-distm-1 ( m > 1) 。由于 k-distm 非递减,显然 DKm > 0。DK 值接近的连续邻近点处于 k-dist 图的同一条平缓曲线上,即处于
同一个密度层次; DK 值大幅跳动的点处于密度转折曲线或噪声曲线上。


3.选择
对 DK 值从小到大排序,得到 DK 标准范围δ。依据 DK 标准范围内对应的数据点的分布情况,在 k-dist 图中找出 k' 个平缓曲线,代表 k' 个主要密度水平。选择每个密度水平的第一个点作为初始聚类中心。


重复若干次,得到若干组的优化聚类中心,在根据优化聚类中心组下的组内间距和/组外间距和判断那个点组为最优点组。

 

其实这样的开销也挺大的,目前也没有看到其它比较易理解的kmeans的初始点计算的方式。

 

9

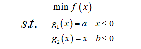
大致讲解一下最优化中拉格朗日乘子法的思路?KKT是什么?

 

当我们求解一个函数的最小值,且这个函数也被某些确定的限制条件限制的时候:

 

我们可以将限制条件加入f(x)中一同进行后续的偏导计算:

至于KKT我了解的其实不多,也是回来之后恶补了一下,通过例子入手:

 


求解上面这个问题的化,我们需要考虑构造两个约束变量a1,b1,使得
h1(x,a1)=g1(x)+a1^2=a-x+a1^2=0
h2(x,b1)=g2(x)+b1^2=b-x+b1^2=0
在根据普通拉格朗日乘子的方法对下面公式的每一项求偏导:

 


这个条件就是KKT条件
其实我觉得,http://www.cnblogs.com/zhangchaoyang/articles/2726873.html,这篇文章写的挺好的,想要详细了解的可以仔细参考一下。

 

10

听说你做过风控,异常点检测你用过什么办法?

 

之前正好整理过,内心大喜:
1、6个西格玛的原理
2、箱式图大于3/2QI+Q3,小于Q1-3/2Qi
3、基于距离离群检测(聚类),包括欧式、马氏距离、街道距离
这边被打断了,问了马氏距离的细节,好处:

 


追问了协方差Sigma怎么算:
Cov(X,Y)=E(XY)-E(X)E(Y)
追问了什么时候用马氏距离比较好:
举例很有名的曲线分布图,如下:

 


4.pca的基于特征值压缩的方法


5.基于isolation forest识别的方法。


这边被追问了一次原理:

 

method: 
1.从原始数据中随机选择一个属性feature; 
2.从原始数据中随机选择该属性的下的一个样本值value; 
3.根据feature下的value对每条记录进行分类,把小于value的记录放在左子集,把大于等于value的记录放在右子集; 
4.repeat 1-3 until:     
4.1.传入的数据集只有一条记录或者多条一样的记录;     
4.2.树的高度达到了限定高度;

 

以s(x,n)为判断数据是否异常的衡量指标。

 


其中,h(x)为x对应的节点深度,c(n)为样本可信度,s(x,n)~[0,1],正常数据来讲s(x,n)小于0.8,s(x,n)越靠近1,数据异常的可能性越大。


详细的可以参见我的另一篇博客:http://www.jianshu.com/p/ac6418ee8e3f