判断链表中是否存在环(快慢指针算法)
环形链表题目一:
给你一个链表的头节点 head ,判断链表中是否有环。
如果链表中有某个节点,可以通过连续跟踪 next 指针再次到达,则链表中存在环。 为了表示给定链表中的环,评测系统内部使用整数 pos 来表示链表尾连接到链表中的位置(索引从 0 开始)。注意:pos 不作为参数进行传递 。仅仅是为了标识链表的实际情况。
如果链表中存在环 ,则返回 true 。 否则,返回 false 。
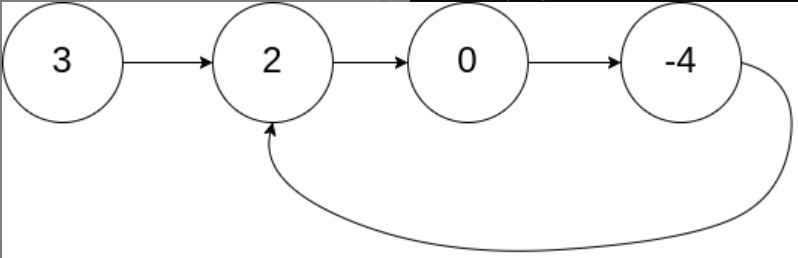
示例 1:

输入:head = [3,2,0,-4], pos = 1
输出:true
解释:链表中有一个环,其尾部连接到第二个节点。
解题思路(快慢指针算法):
我们定义两个指针,一快一满。慢指针每次只移动一步,而快指针每次移动两步。初始时,慢指针在位置 head,而快指针在位置 head.next。这样一来,如果在移动的过程中,快指针反过来追上慢指针,就说明该链表为环形链表。否则快指针将到达链表尾部,该链表不为环形链表。
public class Solution {
public boolean hasCycle(ListNode head) {
//快慢指针法
if(head == null || head.next == null){
return false;
}
ListNode slow = head;
ListNode fast = head.next;
while(slow != fast){
if(fast == null || fast.next == null){
return false;
}
slow = slow.next;
fast = fast.next.next;
}
return true;
}
}
环形链表题目二:
给定一个链表的头节点 head ,返回链表开始入环的第一个节点。 如果链表无环,则返回 null。
如果链表中有某个节点,可以通过连续跟踪 next 指针再次到达,则链表中存在环。 为了表示给定链表中的环,评测系统内部使用整数 pos 来表示链表尾连接到链表中的位置(索引从 0 开始)。如果 pos 是 -1,则在该链表中没有环。注意:pos 不作为参数进行传递,仅仅是为了标识链表的实际情况。
不允许修改 链表。
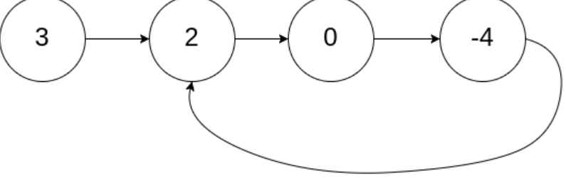
示例 1:

输入:head = [3,2,0,-4], pos = 1
输出:返回索引为 1 的链表节点
解释:链表中有一个环,其尾部连接到第二个节点。
解题思路(快慢指针法):

首先推断出为什么慢指针和快指针相遇时,慢指针还没有走完环的一圈:
1.当慢指针到达环的入口时,此时快指针走了n遍环,设此时慢指针和快指针的距离为x,(此时x可能等于0,x等于0表示相遇)则快指针追上慢指针需要(环的周长)c - x
2.设慢指针的速度为1m/s,则快指针的速度为2m/s ,则快指针每次可以追赶慢指针1个单位
3. 则可以推断出追上慢指针需要(c - x) / 1 = c - x 秒
4.故慢指针所走的距离为c - x,因为c - x < c ,所以满指针和快指针相遇时,满指针不可能走完一个环。
其次要去推导出a的距离公式:
设链表头到环的开始节点距离为a
快指针和慢指针相遇的位置距离环的开始节点为b
从相遇位置到环开始的节点距离为c
1.当他们相遇时:快指针所走的长度为a + n(b + c) + b,慢指针所走的长度为a + b
2.由于n(b + c)相当于在环中循环走,其相对位置并没有改变,可以认为n(b + c) = b + c
3.二者的距离关系为: a + b + c + b = 2(a + b) 由此可以得出 a = c
当快慢指针相遇时,定义指针pre指向链表头,当其和满指针相遇时,就在环的开始位置
public class Solution {
public ListNode detectCycle(ListNode head) {
if(head == null || head.next == null){
return null;
}
ListNode fast = head;
ListNode slow = head;
while(fast != null && fast.next != null){
slow = slow.next;
fast = fast.next.next;
if(slow == fast){
ListNode pre = head;
while(pre != slow){
pre = pre.next;
slow = slow.next;
}
return pre;
}
}
return null;
}
}

浙公网安备 33010602011771号