论文查重
目录
- 作业要求
- PSP表格
- 程序设计及结构
- 算法分析
- 测试数据
一、作业要求
| 这个作业属于哪个课程 | 软件工程 |
|---|---|
| 这个作业要求在哪里 | 软件工程作业要求 |
| 这个作业的目的 | 使用PSP表格估计程序开发所需时间,使用gitcode管理代码,学会自动测试程序并返回测试结果 |
| GitCode链接 | 我的GitCode仓库 |
二、PSP表格
| PSP2.1 | personal Software Process Stages | 预估耗时(分钟) | 实际耗时(分钟) |
|---|---|---|---|
| Planning | 计划 | 20 | 30 |
| Estimate | 估计这个任务需要多少时间 | 90 | 80 |
| Development | 开发 | 900 | 1020 |
| Analysis | 需求分析 | 80 | 120 |
| Design Spec | 生成设计文档 | 60 | 50 |
| Coding Standard | 代码规范 | 30 | 40 |
| Design | 具体设计 | 130 | 120 |
| Coding | 具体编码 | 400 | 520 |
| Code Review | 代码复审 | 30 | 50 |
| Test | 测试 | 50 | 80 |
| Reporting | 报告 | 150 | 130 |
| Size Measurement | 计算工作量 | 30 | 25 |
| Postmortem & Process Improvement Plan | 事后总结并提出过程改进计划 | 60 | 60 |
| All | 总计 | 2030 | 2325 |
三、程序设计及结构


四、算法分析
余弦距离,也称为余弦相似度,是用向量空间中两个向量夹角的余弦值作为衡量两个个体间差异的大小的度量。
余弦值越接近1,就表明夹角越接近0度,也就是两个向量越相似,这就叫"余弦相似性"。

上图两个向量a,b的夹角很小可以说a向量和b向量有很高的的相似性,极端情况下,a和b向量完全重合。如下图:

上图中:可以认为a和b向量是相等的,也即a,b向量代表的文本是完全相似的,或者说是相等的。如果a和b向量夹角较大,或者反方向。如下图:

上图中: 两个向量a,b的夹角很大可以说a向量和b向量有很低的的相似性,或者说a和b向量代表的文本基本不相似。那么是否可以用两个向量的夹角大小的函数值来计算个体的相似度呢?
向量空间余弦相似度理论就是基于上述来计算个体相似度的一种方法。下面做详细的推理过程分析。
想到余弦公式,最基本计算方法就是初中的最简单的计算公式,计算夹角的余弦定值公式为:

但是这个是只适用于直角三角形的,而在非直角三角形中,余弦定理的公式是:


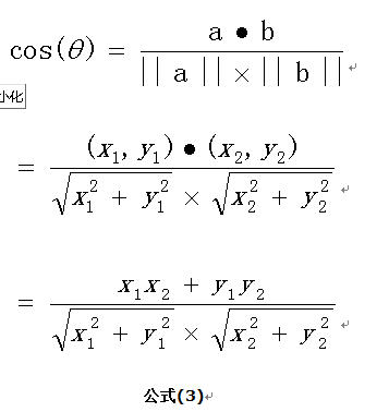
在向量表示的三角形中,假设a向量是(x1, y1),b向量是(x2, y2),那么可以将余弦定理改写成下面的形式:

向量a和向量b的夹角 的余弦计算如下:

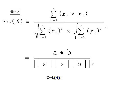
扩展,如果向量a和b不是二维而是n维,上述余弦的计算法仍然正确。假定a和b是两个n维向量,a是 ,b是 ,则a与b的夹角 的余弦等于:

代码示例


五、测试数据
对比结果:



单元测试:

浙公网安备 33010602011771号