带权并查集
前言
一般的并查集仅维护了节点和集合的关系,对集合内部各元素间的关系未作处理。此时如果我们还需要有关各个节点之间的信息,就需要给节点加入权值并动态更新它,这样的并查集结构称为带权并查集。
这篇文章通过一些例题讲解带权并查集的原理和应用。
题目 1. 数轴上任意两点之间的距离问题
问题简述:
数轴上面有 \(n\) 个点,只给你 \(m\) 条两个点之间的相对位置信息,之后有 \(q\) 次询问,每次询问任意两点之间的距离,要求你在 \(O(n+m+q)\) 的时间内解决这个问题。
距离信息的描述定义如下:
A B 100表示从 \(A\) 开始向右走 \(100\) 个单位长度可以到达 \(B\) 点。A B -100表示从 \(A\) 开始向左走 \(100\) 个单位长度可以到达 \(B\) 点。注意:如果你无法求解出两点之间距离,请给出一行
idn。保证数据之间没有矛盾。
不妨先来考虑一下弱化版:不问距离,只问能否求解出距离,如何解决?
从物理学中参考系的角度考虑:如果两个点都与同一个点有联系,自然可以求解出两个点之间的相对距离。我们建立并查集,通过关系维护集合,判断即可。
但是题目要求距离,我们能否把距离这一变量放在并查集的点上呢?
可以!顺着前面的思路,我们令一个点的权值表示为自己到自己的子集头部节点的相对距离,假设用 \(d\) 表示。头节点到子集的距离显然是 \(0\)。
但是如此表示之后,原来并查集的路径压缩和合并操作还能正常用吗?
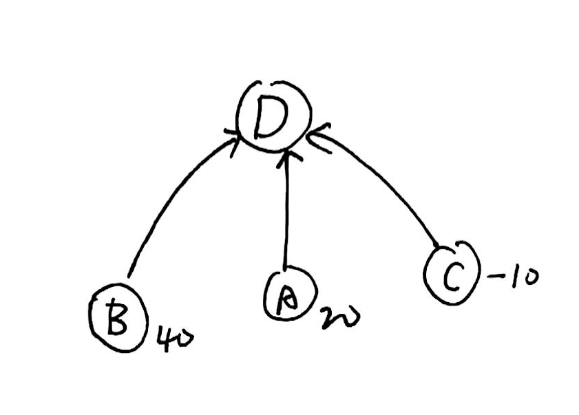
举例子试试:先是合并操作

我们希望的是:

\(B,C\) 原来的值与这两个点之间的相对距离 \(50\) 之间有什么关系呢?
注意到:
即:
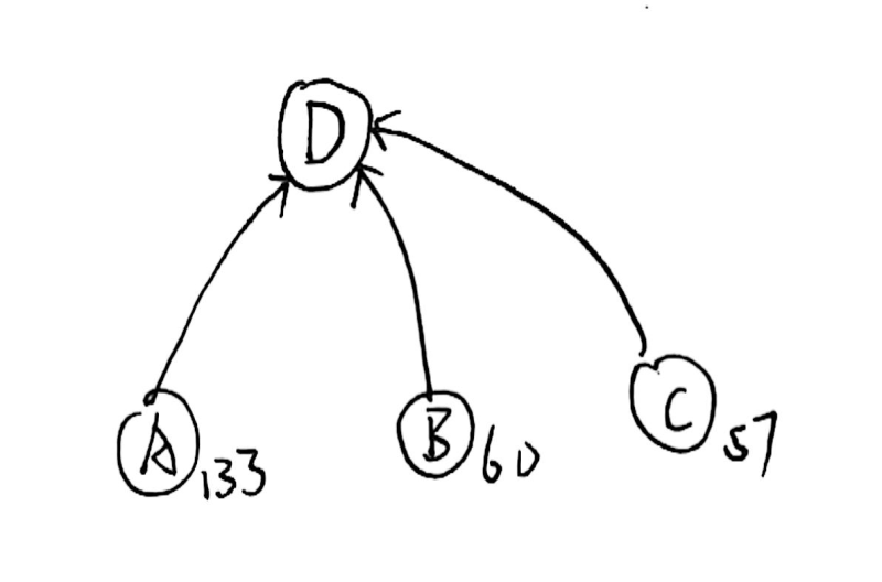
是否如此呢?再来一个更一般的例子:

我们希望的:

验证?
成立!
一般的带权并查集题目,猜个公式之后举几个例子验证之后成立就可以直接用了,无需严谨证明(其实是不会证((
但是注意到我们的合并操作仅是针对上例中 \(A,D\) 点的数值修改,回到我们对于带权并查集的点权的定义,\(A\) 其下的那些节点们的权值怎么办?
办法是懒更新,在用到这些数据前,我们不管这些值的对错。
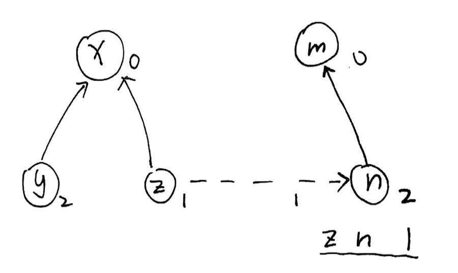
如何修正这些值呢?这一过程可以在原并查集结构的路径压缩过程中完成,还是上例:

我们希望的:

注意虽然 \(B\) 的值是不正确的,但是它相对于 \(A\) 的值一定是正确的,如果我们得到了 \(A\) 的正确值,\(B\) 的正确值当然也可以被更新,显然这是一个递归过程。
在路径压缩时,一旦回到了 \(u\) 点,意味着我们已经得到了 \(u\) 点原来祖先的正确值。由 \(40=20+20\),我们猜想:
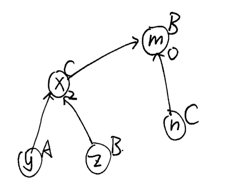
这正确吗?再举一例:

我们希望的:

验证?
正确!
既然如此,我们就可以在路径压缩的过程中顺手修正 \(B\) 的值了。
关于答案,因为只要求两点之间距离,因此用两点之间到头节点的相对距离做差即可。但若两点不在同一集合内,应给出 idn 。
这就是并查集最基础的例题了,下面是代码:
const int N=2e5+5;
ll fa[N],dis[N];
int _find (int u){
if(fa[u]==u)return u;
int prev=fa[u];
fa[u]=_find(fa[u]);
dis[u]+=dis[prev];
return fa[u];
}
int main(){
int n,m,q;
cin>>n>>m>>q;
for(int i=1;i<=n+1;i++){
fa[i]=i;
dis[i]=0;
}
for(int i=1;i<=m;i++){
ll l,r,s;
cin>>l>>r>>s;
int t1=_find(l),t2=_find(r);
if(t1!=t2){
fa[t1]=t2;
dis[t1]=dis[r]-dis[l]+s;
}
}
for(int i=1;i<=q;i++){
int l,r;
cin>>l>>r;
int t1=_find(l),t2=_find(r);
if(t1!=t2){
cout<<"idn"<<'\n';
}
else{
cout<<dis[l]-dis[r]<<'\n';
}
}
return 0;
}
题目 2 蓝桥杯 2022 省 A - 推导部分和
题意简述:
对于一个长度为 \(N\) 的整数数列 \(A_{1}, A_{2}, \cdots A_{N}\),想知道下标 \(l\) 到 \(r\) 的部分和 \(\sum\limits_{i=l}^{r}A_i=A_{l}+A_{l+1}+\cdots+A_{r}\) 是多少。
仅给定它的 \(M\) 个部分和的值。其中第 \(i\) 个部分和是下标 \(l_{i}\) 到 \(r_{i}\) 的部分和 \(\sum_{j=l_{i}}^{r_{i}}=A_{l_{i}}+A_{l_{i}+1}+\cdots+A_{r_{i}}\), 值是 \(S_{i}\) 。
对于每个询问, 输出一行包含一个整数表示答案。如果答案无法确定, 输出
UNKNOWN。
把区间的和看成两点之间的距离,然后就做完了。
但是在这里要注意一些实现上的细节。由于此题中为一个个数字位置,但是原模型中是一个个抽象的点,于是我们用位置之间的间隔的距离来表示数字位置之间的距离。这也算是一个常用的小 trick 了。
const int N=2e5+5;
ll fa[N],dis[N];
int _find(int u){
if(fa[u]==u)return u;
int prev=fa[u];
fa[u]=_find(fa[u]);
dis[u]+=dis[prev];
return fa[u];
}
int main(){
int n,m,q;
cin>>n>>m>>q;
for(int i=1;i<=n+1;i++){
fa[i]=i;
dis[i]=0;
}
for(int i=1;i<=m;i++){
ll l,r,s;
cin>>l>>r>>s;
r++;
int t1=_find(l),t2=_find(r);
if(t1!=t2){
fa[t1]=t2;
dis[t1]=dis[r]-dis[l]+s;
}
}
for(int i=1;i<=q;i++){
int l,r;
cin>>l>>r;
r++;
int t1=_find(l),t2=_find(r);
if(t1!=t2){
cout<<"UNKNOWN"<<'\n';
}
else{
cout<<dis[l]-dis[r]<<'\n';
}
}
return 0;
}
题目 3 [HNOI2005] 狡猾的商人
题意简述:
有一个账本,账本上记录了 \(n\) 个月以来的收入情况,其中第 \(i\) 个月的收入额为 \(a_i\),\(i=1,2,\ldots,n-1,n\)。当 \(a_i>0\) 时表示这个月盈利 \(a_i\) 元,当 \(a_i<0\) 时表示这个月亏损 \(|a_i|\) 元。所谓一段时间内的总收入,就是这段时间内每个月的收入额的总和。
知道 \(m\) 段时间内的总收入,你的任务是根据记住的这些信息来判断账本是不是假的。
把月份之间的收入当作两点之间的距离,然后就做完了。
判断冲突的方法也很简单,读入数据时如果能够求出两点之间的距离,求一下比较一下就可以了。
代码几乎与 题目 2 没区别。
const int N=2e5+5;
ll fa[N],dis[N];
int _find(int u){
if(fa[u]==u)return u;
int prev=fa[u];
fa[u]=_find(fa[u]);
dis[u]+=dis[prev];
return fa[u];
}
int main(){
int T;
cin>>T;
while(T--){
memset(fa,0,sizeof fa);
memset(dis,0,sizeof dis);
int n,m;
cin>>n>>m;
bool la=0;
for(int i=1;i<=n+1;i++){
fa[i]=i;
dis[i]=0;
}
for(int i=1;i<=m;i++){
if(la==1)break;
ll l,r,s;
cin>>l>>r>>s;
r++;
int t1=_find(l),t2=_find(r);
if(t1!=t2){
fa[t1]=t2;
dis[t1]=dis[r]-dis[l]+s;
}
else{
ll cd=dis[l]-dis[r];
if(cd!=s){
cout<<"false"<<'\n';
la=1;
}
}
}
if(la){
continue;
}
else{
cout<<"true"<<'\n';
}
}
return 0;
}
题目 4 [NOI2002] 银河英雄传说
题意简述:
问题
杨威利会发布合并指令M i j,将第i号战舰所在的队列整体接到第j号战舰所在队列的尾部。莱因哈特会发布询问指令C i j,询问第i号战舰和第j号战舰是否在同一列,如果在,输出它们之间的战舰数量;否则输出-1。输入
- 第一行:整数
T,表示指令总数(\(1 \le T \le 5 \times 10^5\))。- 接下来
T行:每条指令为M i j或C i j,其中 \(1 \le i,j \le 30000\),且M i j保证i和j不在同一列。输出
- 对于每条
C i j指令,输出一个整数,表示i和j之间的战舰数量;若不在同一列,输出-1。注意
- 指令中不存在
i = j的情况。
题意简化 by deepseek
依然是任意两点间的距离模型,但是距离一定是头和尾之间的距离,因此在每个集合里记录一下头和尾就完事了。
贴一个侏罗纪时候写的丑陋代码:
Show me the code
#include<bits/stdc++.h>
using namespace std;
struct lis{
int fa;
int son;
int id;
}ship[30005];
int lcaship[30005],bel[30005];
inline int read(){
int x=0,f=1;
char c=getchar();
while(c<'0'||c>'9'){
if(c=='-'){
f=-1;
}
c=getchar();
}
while(c<='9'&&c>='0'){
x=(x<<3)+(x<<1)+(c^48);
c=getchar();
}
return x*f;
};
int f_find(int unit){
if(lcaship[unit]==unit)return unit;
else {
int rf=f_find(lcaship[unit]);
ship[unit].id+=ship[lcaship[unit]].id;//+1;
lcaship[unit]=rf;
return lcaship[unit];
}
}
int s_find(int unit){
if(ship[unit].son==unit)return unit;
else return s_find(ship[unit].son);
}
void upd(int unit){
ship[unit].id=ship[ship[unit].fa].id+1;
if(ship[unit].son==unit)return;
else upd(ship[unit].son);
}
int main(){
int com;
cin>>com;
for(int i=1;i<=30003;i++){
ship[i].fa=i;
ship[i].son=i;
ship[i].id=0;
lcaship[i]=i;
bel[i]=1;
}
for(int i=1;i<=com;i++){
char op;
cin>>op;
int u1,u2;
u1=read();
u2=read();
if(op=='M'){
int t1=f_find(u1),
t2=f_find(u2);
ship[t1].id=ship[t1].id+bel[t2];
ship[t1].fa=t2;
lcaship[t1]=t2;
bel[t2]+=bel[t1];
bel[t1]=0;
}
else{
int t1=f_find(u1),
t2=f_find(u2);
if(t1==t2){
cout<<max(ship[u1].id,ship[u2].id)-min(ship[u1].id,ship[u2].id)-1<<'\n';
}
else{
cout<< -1<<'\n';
}
}
}
return 0;
}
题目 5 除法求值
题意简述:
已知条件
- 给定一个变量对数组
equations和一个实数值数组values,其中equations[i] = [Ai, Bi]和values[i]表示等式Ai / Bi = values[i]。- 每个
Ai或Bi是一个表示变量的字符串。问题
- 给定一个查询数组
queries,其中queries[j] = [Cj, Dj],表示询问Cj / Dj的值。- 根据已知条件,计算每个查询的结果。如果无法确定结果,则返回
-1.0。输出
- 返回一个数组,包含所有查询的结果。
注意
- 输入总是有效的,不存在除数为 0 或矛盾的结果。
- 如果查询中的变量未在
equations中出现,则结果为-1.0。
题意简化 by deepseek
首先把代表变量的字符串用 map 映射成下标,然后把除法关系变成倍数关系。
还记得原模型中的公式吗?
我们也把倍数关系当作距离,只不过这里变成了乘法,于是我们理所当然的猜想公式要变成:
验证一下发现是正确的,于是这题做完了。
Show me the code
class Solution {
public:
int fa[1100];
double dis[1100];
double _find(int u){
if(fa[u]==u)return u;
int prev=fa[u];
fa[u]=_find(fa[u]);
dis[u]*=dis[prev];
return fa[u];
}
vector<double> calcEquation(vector<vector<string>>& equations,
vector<double>& values,
vector<vector<string>>& queries) {
map<string,int> mp;
int at=1;
for(auto str:equations){
if(mp.find(str.front())==mp.end()){
mp[str.front()]=at;
at++;
}
if(mp.find(str.back())==mp.end()){
mp[str.back()]=at;
at++;
}
}
int n=mp.size();
for(int i=0;i<=n+1;i++){
fa[i]=i;
dis[i]=1;
}
for(int i=0;i<equations.size();i++){
int u=mp[equations[i].front()];
int v=mp[equations[i].back()];
double dist=values[i];
int t1=_find(u);
int t2=_find(v);
if(t1!=t2){
fa[t1]=t2;
dis[t1]=dis[v]/dis[u]*dist;
}
}
vector<double> res;
for(auto str:queries){
if(mp.find(str.front())==mp.end()||mp.find(str.back())==mp.end()){
res.push_back(-1.0);
continue;
}
int u=mp[str.front()];
int v=mp[str.back()];
int t1=_find(u);
int t2=_find(v);
if(t1!=t2){
res.push_back(-1.0);
}
else{
res.push_back(dis[u]/dis[v]);
}
}
return res;
}
};
题目 6 NOI2001 食物链
题意简述:
背景
动物王国中有三类动物 \(A, B, C\),食物链构成环形:\(A\) 吃 \(B\),\(B\) 吃 \(C\),\(C\) 吃 \(A\)。现有 \(N\) 个动物,编号为 \(1 \sim N\),每个动物属于 \(A, B, C\) 中的一种,但具体种类未知。问题
有 \(K\) 句话描述这些动物的关系,每句话格式为:
1 X Y:表示 \(X\) 和 \(Y\) 是同类。2 X Y:表示 \(X\) 吃 \(Y\)。每句话可能是真话或假话。假话的判断规则如下:
- 与前面某些真话冲突。
- \(X\) 或 \(Y\) 的编号大于 \(N\)。
- 表示 \(X\) 吃 \(X\)(自己吃自己)。
任务
根据给定的 \(N\) 和 \(K\) 句话,计算假话的总数。
题意简化 by deepseek
本题中,我们尝试用带权并查集维护种类关系。
题目中的物种之间有这样的关系:
注意到任意的两个物种之间只可能有两种关系:
- \(x,y\) 同类。
- \(x\) 吃 \(y\)。
- \(x\) 被 \(y\) 吃。
这样的关系在食物链上有那些距离的规律?
- \(x,y\) 同类,则 \(x,y\) 之间的距离为 \(0\)。
- \(x\) 吃 \(y\),则 \(x,y\) 之间的距离为 \(1\)。
- \(x\) 被 \(y\) 吃,则 \(x,y\) 之间的距离为 \(2\)。
这样的关系能否用我们的相对距离模型表示呢?

直接看可能不好理清关系,我们不妨带入具体的 \(A,B,C\):


公式还成立吗?\(2-1+1=2\),成立!
再举一例试试:

公式还成立吗?\(2-0+2=4\),\(4\) 是什么?
注意到我们一共有三个关系,且有循环特征,我们自然想到把得到的结果对 \(3\) 取模。可以发现,对 \(3\) 取模后的结果就是正确的答案。
再来看看路径压缩时的情况:

我们想要的:

最后是求解答案时的情况: 我们假设要求解 \(A,B\) 之间的关系:
\(1-2=-1\) ?不急,\(-1\) 也是可以取模的。$(-1+3) \bmod 3 =2 $, 答案正确。
于是,我们就可以用这样的带取模的带权并查集快速的维护了。
再来一份清朝写的代码:
Show me the code
#define rd read()
#include<bits/stdc++.h>
using namespace std;
typedef long long ll;
ll read(){
ll x=0,f=1;
char c=getchar();
while(c>'9'||c<'0'){if(c=='-') f=-1;c=getchar();}
while(c>='0'&&c<='9'){x=(x<<3)+(x<<1)+(c^48);c=getchar();}
return x*f;
}
const int N=5e4+5;
int fa[N];
int d[N];
int _find(int u){
if(fa[u]==u)return u;
int t=_find(fa[u]);
d[u]+=d[fa[u]];
d[u]=(d[u]+3)%3;
fa[u]=t;
return t;
}
int main(){
int n,k;
cin>>n>>k;
for(int i=1;i<=n;i++){
fa[i]=i;
d[i]=0;
}
ll ans=0;
for(int i=1;i<=k;i++){
int t,x,y;
cin>>t>>x>>y;
if(x>n||y>n){
ans++;
continue;
}
else if(t==2&&x==y){
ans++;
continue;
}
int t1=_find(x),
t2=_find(y);
if(t==1){
if(t1==t2&&(d[x]-d[y]+3)%3!=0){
ans++;
continue;
}
else{
fa[t1]=t2;
d[t1]=d[y]-d[x];
}
}
else if(t==2){
if(t1==t2&&((d[x]-d[y]+3)%3==0||(d[x]-d[y]+3)%3==2)){
ans++;
continue;
}
else{
fa[t1]=t2;
d[t1]=d[y]-d[x]+1;
}
}
}
cout<<ans;
return 0;
}
当然,只维护三种关系还是太普通了,有没有更强力一点的题目?
有的朋友,有的,请看:
题目 7 ${\color{Yellow}{\tiny 33} } $ DXJ 与四大梗王
题意简述:
背景:
- 四种竞赛:\(M, P, C, B\)。
- 玩梗关系:
- \(M \rightarrow P\)
- \(P \rightarrow C\)
- \(C \rightarrow B\)
- \(B \rightarrow M\)
- Friendship:若 \(x\) 玩 \(y\) 的梗,且 \(z\) 的梗被 \(y\) 玩,则 \(x\) 和 \(z\) 互为
friendship。例如,\(M\) 和 \(C\) 互为friendship,\(P\) 和 \(B\) 互为friendship。问题:
- DXJ(\(0\) 号)想知道其他 \(N\) 个同学的竞赛类型。
- 每个同学的回答可能是以下之一:
- 我是 \(x\) 竞赛生。
- 我和 \(a\) 同学学一个竞赛。
- \(a\) 同学会玩我的梗。
- 我玩 \(a\) 同学的梗。
- 我与 \(a\) 同学有
friendship!输入:
- \(N+1\) 个学生(编号 \(0 \sim N\))。
- \(M\) 行回答。
输出:
- DXJ 与每个同学的关系(竞赛类型或
friendship)。目标:
- 根据回答推断每个同学的竞赛类型。
题意简化 by deepseek
仍然考虑用并查集维护关系,这里有 \(4\) 种关系,如何安排他们的距离呢?我们从关系图上来考虑:

于是,我们让同种竞赛距离为 \(0\),玩对方的距离为 \(1\),friendship 距离为 \(2\),被对方玩梗关系为 \(3\),这样正确吗?
仿照题目 6 验证一下,确实是正确的。
于是这个题就做完了。
没有代码,因为数据也没有(
题目 8 异或关系
上文中我们使用带权并查集维护了加减乘除和取模关系,再来看看异或关系的维护 。
题意简述:
你没有被给定非负整数 \(x_0, x_1, \cdots, x_{n-1}\),它们都小于 \(2^{20}\),但它们确实存在,并且它们的值不会改变。
我会逐渐给你一些关于它们的事实,并向你提出一些问题。
有两种类型的事实,以及一种类型的问题:
I p V我告诉你 \(x_p =V\)I p q V我告诉你 \(x_p \oplus x_q = V\)Q k p1 p2 ... pk你需要输出 \(x_{p1} \oplus x_{p2} \oplus \cdots \oplus x_{pk}\) 的值。如果你无法从我在该问题之前提供的事实中推断出特定问题的答案,则打印
I don't know.。如果第 \(i\) 个事实(不包括问题)与之前的所有事实都不一致,则打印The first i facts are conflicting.,然后保持沉默(包括事实和问题)。在每个测试用例的输出之后打印一个空行。
维护的关系变成了异或,还能用上面的方法吗?
经过同上的验证,其实是可以的,由于异或没有方向性,公式应变为:
问题在于:如何处理已知值的情况?
按照平常的思路,已知绝对值的情况是很容易处理的,但在带权并查集这个全部是相对参考系的环境中,这反而不好处理了?
既然如此,我们就在这些相对参考系中直接加入一个绝对参考系,令一个点 \(n\) 为头,特殊的是,这个点下领的所有点都是已知的,这个点的绝对值应为 \(0\)。类似与图论中的超级源点。
这样,如果我们已知一个子集中一个元素的值,这个子集中所有元素的值我们都可以知道(这一步也在懒处理中),我们就把这个子集并入以 \(n\) 开头的子集中,即可完成对已知值部分的处理。
那么,现在我们可以高高兴兴的求解 \(k\) 个数的值了吗?
注意到 \(k\) 不会很大,因此我们可以一个数一个数考虑。
如果这 \(k\) 个数都在 \(n\) 集合中,自然很好处理。
其它情况呢?我们知道异或有这样的性质:
我们已知点的相对关系是相对于头的关系,给出的表达式中必然带着一个头的值。
这意味着:如果有偶数个元素在同一个集合中,我们依然可以求解他们异或起来的值,但若只有奇数个,我们就无能为力了。
于是,我们把要求的数按照所属的子集分类,若存在一个子集,有奇数个元素属于它,且这个子集不是 \(n\) 子集,则此时我们将无法得到答案。若无此情况直接计算即可。
本题综合了带权并查集,超级源点,异或的性质,好题!
你说得对,但是我死活过不了这个题,输入和输出格式有点恶心,代码的主要逻辑应该是没什么问题的。
Show me the code
#define psb push_back
#define mkp make_pair
#define rep(i,a,b) for( int i=(a); i<=(b); ++i)
#define per(i,a,b) for( int i=(a); i>=(b); --i)
#define rd read()
#include<iostream>
#include<vector>
#include<map>
#include<cstring>
#include<algorithm>
#include<string>
using namespace std;
typedef long long ll;
ll read(){
ll x=0,f=1;
char c=getchar();
while(c>'9'||c<'0'){if(c=='-') f=-1;c=getchar();}
while(c>='0'&&c<='9'){x=(x<<3)+(x<<1)+(c^48);c=getchar();}
return x*f;
}
struct work{
int fa;
int v;
};
work f[50000];
int _find(int u){
if(f[u].fa==u)return u;
int prev=f[u].fa;
f[u].fa=_find(f[u].fa);
f[u].v=f[u].v^f[prev].v;
return f[u].fa;
}
int main(){
int n,q;
int T=1;
while(cin>>n>>q){
if(n==q&&n==0)break;
for(int i=0;i<=n;i++){
f[i].fa=i;
f[i].v=0;
}
bool slit;
getchar();
cout<<"Case "<<T<<':'<<'\n';
vector<int> vcc[50];
int gccb=0;
for(int i=1;i<=q;i++){
for(int j=0;j<=5;j++){
vcc[j].clear();
}
string s;
getline(cin,s);
if(slit==1)continue;
if(s[0]=='I'){
gccb++;
int op[5];
int cnt=0;
for(int j=1;j<s.size();j++){
if(s[j]==' ')continue;
while(j<s.size()&&'0'<=s[j]&&s[j]<='9'){
vcc[cnt].push_back(s[j]-'0');
j++;
}
cnt++;
}
int cnta=0;
for(int j=0;j<=4;j++){
if(vcc[j].empty())break;
int gcca=1;
cnta++;
for(int k=vcc[j].size()-1;k>=0;k--){
if(k==vcc[j].size()-1){
op[j]=vcc[j][k];
}
else{
gcca*=10;
op[j]+=vcc[j][k]*gcca;
}
}
}
if(cnta==2){
op[0]++;
int t=_find(op[0]);
if(t==0&&f[op[0]].v!=op[1]){
cout<<"The first "<< gccb << " facts are conflicting."<<'\n';
slit=1;
continue;
}
f[t].fa=0;
f[t].v=f[op[0]].v^op[1];
}
else if(cnta==3){
op[0]++;
op[1]++;
int f1=_find(op[0]);
int f2=_find(op[1]);
if(f1==f2&&f[op[0]].v ^ f[op[1]].v!=op[2]){
cout<<"The first "<< gccb << " facts are conflicting."<<'\n';
slit=1;
continue;
}
if(f1==0){
f[f2].fa=0;
f[f2].v=f[op[0]].v ^ f[op[1]].v ^ op[2];
}
else if(f2==0){
f[f1].fa=0;
f[f1].v=f[op[0]].v ^ f[op[1]].v ^ op[2];
}
else{
f[f1].fa=f2;
f[f1].v=f[op[0]].v ^ f[op[1]].v ^ op[2];
}
}
}
if(s[0]=='Q'){
int op[50];
int cnt=0;
for(int j=1;j<s.size();j++){
if(s[j]==' ')continue;
while(j<s.size()&&'0'<=s[j]&&s[j]<='9'){
vcc[cnt].push_back(s[j]-'0');
j++;
}
cnt++;
}
int cnta=0;
for(int j=0;j<=48;j++){
if(vcc[j].empty())break;
int gcca=1;
cnta++;
for(int k=vcc[j].size()-1;k>=0;k--){
if(k==vcc[j].size()-1){
op[j]=vcc[j][k];
}
else{
gcca*=10;
op[j]+=vcc[j][k]*gcca;
}
}
op[j]++;
}
map<int,int> mp;
for(int j=1;j<cnta;j++){
int t=_find(op[j]);
mp[t]++;
}
bool fii=0;
for(auto v:mp){
//cout<<v.first<<' ';
if(v.first!=0&&v.second%2!=0){
cout<<"I don't know."<<'\n';
fii=1;
break;
}
}
if(fii==1)continue;
int ans=0;
for(int j=1;j<cnta;j++){
ans=ans^f[op[j]].v;
}
cout<<ans<<'\n';
}
}
T++;
}
return 0;
}
bye~

浙公网安备 33010602011771号