概率
前言
高中数学必修二第十章和选择性必修三第七章。
1. 随机事件与概率
将对随机事件的实现和对他的观察称为 随机试验,用大写字母 \(E\) 来表示。
随机实验有三种特性:
- 实验可重复性。
- 结果可预知性(知道有那些结果,且结果数量不为 \(1\) )
- 结果随机性(结果在实验前不能确定,且每一次实验总是会恰好出现一种结果)。
将随机实验每个可能的结果称为 样本点,将全体样本点组成的集合称为 样本空间。
用 \(\Omega\) 表示样本空间,用 \(\omega\) 表示一个样本点。当然对于很多的样本空间,可以使用 \(\omega_1,\omega_2\cdots\) 来表示。
当一个样本空间内的样本点的个数有限时,这个样本空间被称为 有限样本空间。
因为一个样本空间是一个集合,我们把样本空间这个集合的非空真子集称为 随机事件(简称事件),只包含一个样本点的随机事件称为 基本事件。
例如,对于扔六面体骰子扔出的点数这一随机实验,其样本空间为:
对于事件 “扔出的点数为奇数”,对应的子集为:
对于一个事件,当且仅当事件中某个样本点出现时,称为这个事件发生。
接着上面的例子,当扔骰子扔出数字 \(5\) 这一样本点时,事件 “扔出的点数为奇数” 发生了。
当然,由于随机试验 “每一次实验总是会恰好出现一种结果”,也就是说在 \(\Omega\) 中必然有一个样本点发生,因此我们称 \(\Omega\) 为 必然事件。对应的,由于随机实验不可能一个样本点也不发生,因此 \(\varnothing\),也就是“一个样本点也不发生” 这件事件是不可能的,我们称其为 不可能事件。
这两种事件没有随机性,我们把它两个独立出来。
2. 事件之间的关系和运算
从上面的定义可以看出,随机事件本质是集合,那么多个事件之间有没有集合关系呢?
对于两个事件 \(A,B\),它们有如下的关系:
- 如果事件 \(A\) 发生,则事件 \(B\) 一定发生,则称 \(A\) 包含于 \(B\),或 \(B\) 包含(没有“于”) \(A\)。用符号写作 \(A\subseteq B\),\(B\supseteq A\)。
- 事件 \(A\) 和事件 \(B\) 中至少一个发生,这种事件叫做 并事件,也叫和事件,写作 \(A\cup B\),也可以写作 \(A+B\)。
- 事件 \(A\) 和事件 \(B\) 中必须同时发生,这种事件叫做 交事件,也叫积事件,写作 \(A \cap B\),也可以写作 \(AB\)。
- 事件 \(A\) 和事件 \(B\) 不可能同时发生,此时称这两种事件 互斥,或 两事件互为互斥事件,显然此时 \(AB=\varnothing\),也可倒推。
- 不是事件 \(A\) 发生就是事件 \(B\) 发生,此时称这两种事件 互为对立。例如扔硬币,正面向上和反面向上这两种事件就互为对立。此时 \(A+B=\Omega\),\(AB=\varnothing\),也可倒推。
显然,互为对立的两种事件一定互斥。
对于一个事件 \(A\),它的对立事件也可以写成 \(\overline{A}\)
概率的表示
用 \(P\) 表示一个事件的概率,即事件 \(A\) 发生的概率为 \(P(A)\)。
3. 古典概率模型 (古典概型)
对于一个随机实验,如果它满足:
- 样本点的个数有限
- 每个样本点发生的可能性相等
那么这个实验就是古典概型实验。
如果这个实验是古典概型实验,样本空间有 \(n\) 各样本点,事件 \(A\) 有 \(k\) 个样本点,此时:
4. 概率的基本性质
- 对于任意事件 \(A\),都有 \(P(A)\ge 0\)。
- \(P(\Omega)=1\),\(P(\varnothing)=0\)。
- 对于事件 \(A,B\),如果 \(AB=\varnothing\),即 \(A,B\) 互斥,则 \(P(A+B)=P(A)+P(B)\)。
- 对于事件 \(A,B\),如果 \(A+B=\Omega,AB=\varnothing\),即 \(A,B\) 互为对立,则 \(P(A+B)=1=P(A)+P(B)\)。
- 对于事件 \(A,B\),如果 \(A\subseteq B\),即 \(A\) 包含于 \(B\),则 \(P(A)\le P(B)\)。
- 在同一个随机实验中,对于任意两个事件 \(A,B\),\(P(A+B)=P(A)+P(B)-P(AB)\),其实就是容斥原理。
5. 事件的相互独立性
对于两个事件 \(A,B\) 如果 \(P(AB)=P(A)P(B)\),则称事件 \(A,B\) 相互独立,简称为独立。
如果 \(P(AB)=P(A)P(B)\),可以推得以下三式成立:
- \(P(\overline{A}B)=P(\overline{A})P(B)\).
- \(P(A\overline{B})=P(A)P(\overline{B})\).
- \(P(\overline{AB})=P(\overline{A})P(\overline{B})\).
详细证明如下:
6. 条件概率
设 \(A,B\) 为两个随机事件,且 \(P(A)>0\),定义:
为 “在 \(A\) 事件发生的前提下,\(B\) 事件发生的概率”。
对于上面的公式,显然有:
如果 \(B,C\) 两事件互斥,则:
如果 \(B,\overline{B}\) 互为对立事件,则:
将上面的公式稍作变形即可得到:
7. 全概率公式与贝叶斯公式
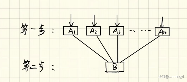
(以下图片来自此视频,支持原创!)
以上公式都是研究两个事件之间的概率问题,如果是多个事件对应的多个概率呢?
首先我们设这里有 \(A_1,A_2\cdots A_n\) 个互斥事件,每种事件都有可能使 \(B\) 事件发生,如下图:

此时定义对于事件 \(A_i\),其发生的概率为 \(P(A_i)\),如果“在事件 \(A_i\) 发生的基础上 \(B\) 事件发生”,此时的概率可以用条件概率表示为 \(P(B\mid A_i)\)(请注意,对于每个 \(A_i\),这个概率可能是不同的)。
那么,“发生了事件 \(A_i\) 又发生了事件 \(B\)”,这个事件的概率就是一个简单的积概率,也就是 \(P(A_i)P(B\mid A_i)\)。


因为每个 \(A_i\) 和其他事件之间都是互斥的,因此 在事件 \(A_i\) 发生的基础上 \(B\) 事件发生” 这个事件肯定也是互斥的。
那么,既然在 \(A_i\) 这一条路径上完成 \(B\) 的概率是 \(P(A_i)P(B\mid A_i)\) ,由于这些事件是两两互斥的,因此根据概率的基本性质第三条,我们有:
这就是 全概率公式
如果我们已知 \(P(B)\) 也就是 \(B\) 事件发生的概率,有多大的可能是从 \(A_i\) 这条路径实现的呢?这也就是求:“在事件 \(B\) 发生的基础上 \(A_i\) 事件发生”的概率”。
既然在 \(A_i\) 这一条路径上完成 \(B\) 的概率是 \(P(A_i)P(B\mid A_i)\),又已知全部路径的概率和(即 \(P(B)\),上面的全概率公式就是所有路径概率的和),两者相除不就可以了?
于是有:
这就是 贝叶斯公式。
试试这个题吧:洛谷 P8804.
迁移自洛谷

浙公网安备 33010602011771号