注意力机制新玩法:深度残差收缩网络
深度残差网络ResNet获得了2016年IEEE Conference on Computer Vision and Pattern Recognition的最佳论文奖,目前在谷歌学术的引用量已高达38295次。
深度残差收缩网络是深度残差网络的一种的改进版本,其实是深度残差网络、注意力机制和软阈值函数的集成。
在一定程度上,深度残差收缩网络的工作原理,可以理解为:通过注意力机制注意到不重要的特征,通过软阈值函数将它们置为零;或者说,通过注意力机制注意到重要的特征,将它们保留下来,从而加强深度神经网络从含噪声信号中提取有用特征的能力。
1.为什么要提出深度残差收缩网络呢?
首先,在对样本进行分类的时候,样本中不可避免地会有一些噪声,就像高斯噪声、粉色噪声、拉普拉斯噪声等。更广义地讲,样本中很可能包含着与当前分类任务无关的信息,这些信息也可以理解为噪声。这些噪声可能会对分类效果产生不利的影响。(软阈值化是许多信号降噪算法中的一个关键步骤)
举例来说,在马路边聊天的时候,聊天的声音里就可能会混杂车辆的鸣笛声、车轮声等等。当对这些声音信号进行语音识别的时候,识别效果不可避免地会受到鸣笛声、车轮声的影响。从深度学习的角度来讲,这些鸣笛声、车轮声所对应的特征,就应该在深度神经网络内部被删除掉,以避免对语音识别的效果造成影响。
其次,即使是同一个样本集,各个样本的噪声量也往往是不同的。(这和注意力机制有相通之处;以一个图像样本集为例,各张图片中目标物体所在的位置可能是不同的;注意力机制可以针对每一张图片,注意到目标物体所在的位置)
例如,当训练猫狗分类器的时候,对于标签为“狗”的5张图像,第1张图像可能同时包含着狗和老鼠,第2张图像可能同时包含着狗和鹅,第3张图像可能同时包含着狗和鸡,第4张图像可能同时包含着狗和驴,第5张图像可能同时包含着狗和鸭子。我们在训练猫狗分类器的时候,就不可避免地会受到老鼠、鹅、鸡、驴和鸭子等无关物体的干扰,造成分类准确率下降。如果我们能够注意到这些无关的老鼠、鹅、鸡、驴和鸭子,将它们所对应的特征删除掉,就有可能提高猫狗分类器的准确率。
2.软阈值化是许多信号降噪算法的核心步骤
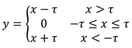
软阈值化,是很多信号降噪算法的核心步骤,将绝对值小于某个阈值的特征删除掉,将绝对值大于这个阈值的特征朝着零的方向进行收缩。它可以通过以下公式来实现:

软阈值化的输出对于输入的导数为

由上可知,软阈值化的导数要么是1,要么是0。这个性质是和ReLU激活函数是相同的。因此,软阈值化也能够减小深度学习算法遭遇梯度弥散和梯度爆炸的风险。
在软阈值化函数中,阈值的设置必须符合两个的条件:第一,阈值是正数;第二,阈值不能大于输入信号的最大值,否则输出会全部为零。
同时,阈值最好还能符合第三个条件:每个样本应该根据自身的噪声含量,有着自己独立的阈值。
这是因为,很多样本的噪声含量经常是不同的。例如经常会有这种情况,在同一个样本集里面,样本A所含噪声较少,样本B所含噪声较多。那么,如果是在降噪算法里进行软阈值化的时候,样本A就应该采用较大的阈值,样本B就应该采用较小的阈值。在深度神经网络中,虽然这些特征和阈值失去了明确的物理意义,但是基本的道理还是相通的。也就是说,每个样本应该根据自身的噪声含量,有着自己独立的阈值。
3.注意力机制
注意力机制在计算机视觉领域是比较容易理解的。动物的视觉系统可以快速扫描全部区域,发现目标物体,进而将注意力集中在目标物体上,以提取更多的细节,同时抑制无关信息。具体请参照注意力机制方面的文章。
Squeeze-and-Excitation Network(SENet)是一种较新的注意力机制下的深度学习方法。 在不同的样本中,不同的特征通道,在分类任务中的贡献大小,往往是不同的。SENet采用一个小型的子网络,获得一组权重,进而将这组权重与各个通道的特征分别相乘,以调整各个通道特征的大小。这个过程,就可以认为是在施加不同大小的注意力在各个特征通道上。

在这种方式下,每一个样本,都会有自己独立的一组权重。换言之,任意的两个样本,它们的权重,都是不一样的。在SENet中,获得权重的具体路径是,“全局池化→全连接层→ReLU函数→全连接层→Sigmoid函数”。

4.深度注意力机制下的软阈值化
深度残差收缩网络借鉴了上述SENet的子网络结构,以实现深度注意力机制下的软阈值化。通过蓝色框内的子网络,就可以学习得到一组阈值,对各个特征通道进行软阈值化。
在这个子网络中,首先对输入特征图的所有特征,求它们的绝对值。然后经过全局均值池化和平均,获得一个特征,记为A。在另一条路径中,全局均值池化之后的特征图,被输入到一个小型的全连接网络。这个全连接网络以Sigmoid函数作为最后一层,将输出归一化到0和1之间,获得一个系数,记为α。最终的阈值可以表示为α×A。因此,阈值就是,一个0和1之间的数字×特征图的绝对值的平均。这种方式,不仅保证了阈值为正,而且不会太大。
而且,不同的样本就有了不同的阈值。因此,在一定程度上,可以理解成一种特殊的注意力机制:注意到与当前任务无关的特征,通过软阈值化,将它们置为零;或者说,注意到与当前任务有关的特征,将它们保留下来。
最后,堆叠一定数量的基本模块以及卷积层、批标准化、激活函数、全局均值池化以及全连接输出层等,就得到了完整的深度残差收缩网络。
5.深度残差收缩网络或许有更广泛的通用性
深度残差收缩网络事实上是一种通用的特征学习方法。这是因为很多特征学习的任务中,样本中或多或少都会包含一些噪声,以及不相关的信息。这些噪声和不相关的信息,有可能会对特征学习的效果造成影响。例如说:
在图片分类的时候,如果图片同时包含着很多其他的物体,那么这些物体就可以被理解成“噪声”;深度残差收缩网络或许能够借助注意力机制,注意到这些“噪声”,然后借助软阈值化,将这些“噪声”所对应的特征置为零,就有可能提高图像分类的准确率。
在语音识别的时候,如果在声音较为嘈杂的环境里,比如在马路边、工厂车间里聊天的时候,深度残差收缩网络也许可以提高语音识别的准确率,或者给出了一种能够提高语音识别准确率的思路。
6.Keras和TFLearn程序简介
本程序以图像分类为例,构建了小型的深度残差收缩网络,超参数也未进行优化。为追求高准确率的话,可以适当增加深度,增加训练迭代次数,以及适当调整超参数。下面是Keras程序:
1 #!/usr/bin/env python3 2 # -*- coding: utf-8 -*- 3 """ 4 Created on Sat Dec 28 23:24:05 2019 5 Implemented using TensorFlow 1.0.1 and Keras 2.2.1 6 7 M. Zhao, S. Zhong, X. Fu, et al., Deep Residual Shrinkage Networks for Fault Diagnosis, 8 IEEE Transactions on Industrial Informatics, 2019, DOI: 10.1109/TII.2019.2943898 9 @author: super_9527 10 """ 11 12 from __future__ import print_function 13 import keras 14 import numpy as np 15 from keras.datasets import mnist 16 from keras.layers import Dense, Conv2D, BatchNormalization, Activation 17 from keras.layers import AveragePooling2D, Input, GlobalAveragePooling2D 18 from keras.optimizers import Adam 19 from keras.regularizers import l2 20 from keras import backend as K 21 from keras.models import Model 22 from keras.layers.core import Lambda 23 K.set_learning_phase(1) 24 25 # Input image dimensions 26 img_rows, img_cols = 28, 28 27 28 # The data, split between train and test sets 29 (x_train, y_train), (x_test, y_test) = mnist.load_data() 30 31 if K.image_data_format() == 'channels_first': 32 x_train = x_train.reshape(x_train.shape[0], 1, img_rows, img_cols) 33 x_test = x_test.reshape(x_test.shape[0], 1, img_rows, img_cols) 34 input_shape = (1, img_rows, img_cols) 35 else: 36 x_train = x_train.reshape(x_train.shape[0], img_rows, img_cols, 1) 37 x_test = x_test.reshape(x_test.shape[0], img_rows, img_cols, 1) 38 input_shape = (img_rows, img_cols, 1) 39 40 # Noised data 41 x_train = x_train.astype('float32') / 255. + 0.5*np.random.random([x_train.shape[0], img_rows, img_cols, 1]) 42 x_test = x_test.astype('float32') / 255. + 0.5*np.random.random([x_test.shape[0], img_rows, img_cols, 1]) 43 print('x_train shape:', x_train.shape) 44 print(x_train.shape[0], 'train samples') 45 print(x_test.shape[0], 'test samples') 46 47 # convert class vectors to binary class matrices 48 y_train = keras.utils.to_categorical(y_train, 10) 49 y_test = keras.utils.to_categorical(y_test, 10) 50 51 52 def abs_backend(inputs): 53 return K.abs(inputs) 54 55 def expand_dim_backend(inputs): 56 return K.expand_dims(K.expand_dims(inputs,1),1) 57 58 def sign_backend(inputs): 59 return K.sign(inputs) 60 61 def pad_backend(inputs, in_channels, out_channels): 62 pad_dim = (out_channels - in_channels)//2 63 inputs = K.expand_dims(inputs,-1) 64 inputs = K.spatial_3d_padding(inputs, ((0,0),(0,0),(pad_dim,pad_dim)), 'channels_last') 65 return K.squeeze(inputs, -1) 66 67 # Residual Shrinakge Block 68 def residual_shrinkage_block(incoming, nb_blocks, out_channels, downsample=False, 69 downsample_strides=2): 70 71 residual = incoming 72 in_channels = incoming.get_shape().as_list()[-1] 73 74 for i in range(nb_blocks): 75 76 identity = residual 77 78 if not downsample: 79 downsample_strides = 1 80 81 residual = BatchNormalization()(residual) 82 residual = Activation('relu')(residual) 83 residual = Conv2D(out_channels, 3, strides=(downsample_strides, downsample_strides), 84 padding='same', kernel_initializer='he_normal', 85 kernel_regularizer=l2(1e-4))(residual) 86 87 residual = BatchNormalization()(residual) 88 residual = Activation('relu')(residual) 89 residual = Conv2D(out_channels, 3, padding='same', kernel_initializer='he_normal', 90 kernel_regularizer=l2(1e-4))(residual) 91 92 # Calculate global means 93 residual_abs = Lambda(abs_backend)(residual) 94 abs_mean = GlobalAveragePooling2D()(residual_abs) 95 96 # Calculate scaling coefficients 97 scales = Dense(out_channels, activation=None, kernel_initializer='he_normal', 98 kernel_regularizer=l2(1e-4))(abs_mean) 99 scales = BatchNormalization()(scales) 100 scales = Activation('relu')(scales) 101 scales = Dense(out_channels, activation='sigmoid', kernel_regularizer=l2(1e-4))(scales) 102 scales = Lambda(expand_dim_backend)(scales) 103 104 # Calculate thresholds 105 thres = keras.layers.multiply([abs_mean, scales]) 106 107 # Soft thresholding 108 sub = keras.layers.subtract([residual_abs, thres]) 109 zeros = keras.layers.subtract([sub, sub]) 110 n_sub = keras.layers.maximum([sub, zeros]) 111 residual = keras.layers.multiply([Lambda(sign_backend)(residual), n_sub]) 112 113 # Downsampling (it is important to use the pooL-size of (1, 1)) 114 if downsample_strides > 1: 115 identity = AveragePooling2D(pool_size=(1,1), strides=(2,2))(identity) 116 117 # Zero_padding to match channels (it is important to use zero padding rather than 1by1 convolution) 118 if in_channels != out_channels: 119 identity = Lambda(pad_backend, arguments={'in_channels':in_channels,'out_channels':out_channels})(identity) 120 121 residual = keras.layers.add([residual, identity]) 122 123 return residual 124 125 126 # define and train a model 127 inputs = Input(shape=input_shape) 128 net = Conv2D(8, 3, padding='same', kernel_initializer='he_normal', kernel_regularizer=l2(1e-4))(inputs) 129 net = residual_shrinkage_block(net, 1, 8, downsample=True) 130 net = BatchNormalization()(net) 131 net = Activation('relu')(net) 132 net = GlobalAveragePooling2D()(net) 133 outputs = Dense(10, activation='softmax', kernel_initializer='he_normal', kernel_regularizer=l2(1e-4))(net) 134 model = Model(inputs=inputs, outputs=outputs) 135 model.compile(loss='categorical_crossentropy', optimizer=Adam(), metrics=['accuracy']) 136 model.fit(x_train, y_train, batch_size=100, epochs=5, verbose=1, validation_data=(x_test, y_test)) 137 138 # get results 139 K.set_learning_phase(0) 140 DRSN_train_score = model.evaluate(x_train, y_train, batch_size=100, verbose=0) 141 print('Train loss:', DRSN_train_score[0]) 142 print('Train accuracy:', DRSN_train_score[1]) 143 DRSN_test_score = model.evaluate(x_test, y_test, batch_size=100, verbose=0) 144 print('Test loss:', DRSN_test_score[0]) 145 print('Test accuracy:', DRSN_test_score[1])
下面是TFLearn程序:
#!/usr/bin/env python3 # -*- coding: utf-8 -*- """ Created on Mon Dec 23 21:23:09 2019 Implemented using TensorFlow 1.0 and TFLearn 0.3.2 M. Zhao, S. Zhong, X. Fu, B. Tang, M. Pecht, Deep Residual Shrinkage Networks for Fault Diagnosis, IEEE Transactions on Industrial Informatics, 2019, DOI: 10.1109/TII.2019.2943898 @author: super_9527 """ from __future__ import division, print_function, absolute_import import tflearn import numpy as np import tensorflow as tf from tflearn.layers.conv import conv_2d # Data loading from tflearn.datasets import cifar10 (X, Y), (testX, testY) = cifar10.load_data() # Add noise X = X + np.random.random((50000, 32, 32, 3))*0.1 testX = testX + np.random.random((10000, 32, 32, 3))*0.1 # Transform labels to one-hot format Y = tflearn.data_utils.to_categorical(Y,10) testY = tflearn.data_utils.to_categorical(testY,10) def residual_shrinkage_block(incoming, nb_blocks, out_channels, downsample=False, downsample_strides=2, activation='relu', batch_norm=True, bias=True, weights_init='variance_scaling', bias_init='zeros', regularizer='L2', weight_decay=0.0001, trainable=True, restore=True, reuse=False, scope=None, name="ResidualBlock"): # residual shrinkage blocks with channel-wise thresholds residual = incoming in_channels = incoming.get_shape().as_list()[-1] # Variable Scope fix for older TF try: vscope = tf.variable_scope(scope, default_name=name, values=[incoming], reuse=reuse) except Exception: vscope = tf.variable_op_scope([incoming], scope, name, reuse=reuse) with vscope as scope: name = scope.name #TODO for i in range(nb_blocks): identity = residual if not downsample: downsample_strides = 1 if batch_norm: residual = tflearn.batch_normalization(residual) residual = tflearn.activation(residual, activation) residual = conv_2d(residual, out_channels, 3, downsample_strides, 'same', 'linear', bias, weights_init, bias_init, regularizer, weight_decay, trainable, restore) if batch_norm: residual = tflearn.batch_normalization(residual) residual = tflearn.activation(residual, activation) residual = conv_2d(residual, out_channels, 3, 1, 'same', 'linear', bias, weights_init, bias_init, regularizer, weight_decay, trainable, restore) # get thresholds and apply thresholding abs_mean = tf.reduce_mean(tf.reduce_mean(tf.abs(residual),axis=2,keep_dims=True),axis=1,keep_dims=True) scales = tflearn.fully_connected(abs_mean, out_channels//4, activation='linear',regularizer='L2',weight_decay=0.0001,weights_init='variance_scaling') scales = tflearn.batch_normalization(scales) scales = tflearn.activation(scales, 'relu') scales = tflearn.fully_connected(scales, out_channels, activation='linear',regularizer='L2',weight_decay=0.0001,weights_init='variance_scaling') scales = tf.expand_dims(tf.expand_dims(scales,axis=1),axis=1) thres = tf.multiply(abs_mean,tflearn.activations.sigmoid(scales)) # soft thresholding residual = tf.multiply(tf.sign(residual), tf.maximum(tf.abs(residual)-thres,0)) # Downsampling if downsample_strides > 1: identity = tflearn.avg_pool_2d(identity, 1, downsample_strides) # Projection to new dimension if in_channels != out_channels: if (out_channels - in_channels) % 2 == 0: ch = (out_channels - in_channels)//2 identity = tf.pad(identity, [[0, 0], [0, 0], [0, 0], [ch, ch]]) else: ch = (out_channels - in_channels)//2 identity = tf.pad(identity, [[0, 0], [0, 0], [0, 0], [ch, ch+1]]) in_channels = out_channels residual = residual + identity return residual # Real-time data preprocessing img_prep = tflearn.ImagePreprocessing() img_prep.add_featurewise_zero_center(per_channel=True) # Real-time data augmentation img_aug = tflearn.ImageAugmentation() img_aug.add_random_flip_leftright() img_aug.add_random_crop([32, 32], padding=4) # Build a Deep Residual Shrinkage Network with 3 blocks net = tflearn.input_data(shape=[None, 32, 32, 3], data_preprocessing=img_prep, data_augmentation=img_aug) net = tflearn.conv_2d(net, 16, 3, regularizer='L2', weight_decay=0.0001) net = residual_shrinkage_block(net, 1, 16) net = residual_shrinkage_block(net, 1, 32, downsample=True) net = residual_shrinkage_block(net, 1, 32, downsample=True) net = tflearn.batch_normalization(net) net = tflearn.activation(net, 'relu') net = tflearn.global_avg_pool(net) # Regression net = tflearn.fully_connected(net, 10, activation='softmax') mom = tflearn.Momentum(0.1, lr_decay=0.1, decay_step=20000, staircase=True) net = tflearn.regression(net, optimizer=mom, loss='categorical_crossentropy') # Training model = tflearn.DNN(net, checkpoint_path='model_cifar10', max_checkpoints=10, tensorboard_verbose=0, clip_gradients=0.) model.fit(X, Y, n_epoch=100, snapshot_epoch=False, snapshot_step=500, show_metric=True, batch_size=100, shuffle=True, run_id='model_cifar10') training_acc = model.evaluate(X, Y)[0] validation_acc = model.evaluate(testX, testY)[0]
参考网址
https://www.cnblogs.com/uizhi/p/12239690.html
论文网址
M. Zhao, S. Zhong, X. Fu, et al., Deep residual shrinkage networks for fault diagnosis, IEEE Transactions on Industrial Informatics, DOI: 10.1109/TII.2019.2943898
https://ieeexplore.ieee.org/document/8850096

浙公网安备 33010602011771号