d2l-注意力机制
1. 注意力提示
人的注意力是有限的、有价值和稀缺的资源
受试者使用非自主性和自主性提示有选择性地引导注意力。前者基于突出性,后者则依赖于意识。

注意力机制与全连接层或汇聚层的区别在于增加的自主提示(query)。- 注意力机制通过注意力汇聚是实现对值(value)的偏向性选择,其中包含查询(自主性提示)和键(非自住性提示)。
- 可以通过
热图(heat map)对注意力进行可视化。
2. 注意力汇聚:Nadaraya-Watson 核回归
2.1 平均汇聚
平均汇聚是一种最简单的估计器
这个估计器的效果不佳。

2.2 非参数注意力汇聚
平均汇聚没有考虑输入\(x_i\)。1964年,Nadaraya和Watson根据输入位置对输出\(y_i\)进行加权:
其中,\(K\)称为核,是一种函数。
如果采用高斯核(Gaussian kernel):\(K(u) = \frac{1}{\sqrt{2\pi}}exp(-\frac{u^2}{2})\)
带入到式子中,可以得到:
- 直观的理解:\(x_i\)越接近\(x\),\(y_i\)被分配到的注意力权重更大
可以从注意力机制框架的角度重写称为一个更通用的形式,注意力汇聚 (attention pooling)公式:
- \(x\)是query,\((x_i, y_i)\)是key-value pair
- \(\alpha(x, x_i)\)被称为
注意力权重,权重被分配给每个对应值\(y_i\) - 对于任何查询,模型在所有键值对注意力权重都是一个有效的概率分布:
- 它们是非负的
- 总和为1
2.3 带参数注意力汇聚
非参数的Nadaraya-Watson核回归具有一致性:如果有足够的数据,模型会收敛到最优结果。
但是,现实中往往没有足量的数据,可以将可学习参数加入到注意力汇聚中,加速模型的拟合。
3. 注意力评分函数

- softmax之前的是注意力分数 score
- softmax之后的是注意力权重 weight 表示概率分布
- 注意力汇聚输出的是加权和
假设有1个查询\(\mathbf{q} \in R^q\)和\(m\)个键值对,其中k和v的长度分别为\(\mathbf{k_i} \in R^k\), \(\mathbf{v_i} \in R_v\)
其中,
- \(\alpha\)是注意力权重,为标量
- \(a(\cdot, \cdot)\)是注意力评分函数。选择不同的注意力评分函数会导致不同的注意力汇聚操作。
- \(f\)的输出为预测的value,长度为\(v\)
本节将介绍2种注意力的计算方法:加性注意力、缩放点积注意力。
3.1 masked_softmax
为了仅在有意义的词元上作注意力汇聚,可以指定一个valid_len,在计算softmax的时候过滤掉超出范围的内容。
任何超出范围的位置都被置为0.
def masked_softmax(X, valid_lens):
"""通过在最后一个轴上掩蔽元素来执行softmax操作"""
# X:3D张量,valid_lens:1D或2D张量
if valid_lens is None:
return nn.functional.softmax(X, dim=-1)
else:
shape = X.shape
if valid_lens.dim() == 1:
valid_lens = torch.repeat_interleave(valid_lens, shape[1])
else:
valid_lens = valid_lens.reshape(-1)
# 最后一轴上被掩蔽的元素使用一个非常大的负值替换,从而其softmax输出为0
X = d2l.sequence_mask(X.reshape(-1, shape[-1]), valid_lens,
value=-1e6)
return nn.functional.softmax(X.reshape(shape), dim=-1)
3.2 加性注意力
当查询(query)和键(key)是长度不同的向量时,可以使用加性注意力。加性注意力的评分函数为
其中,可学习的参数为\(\mathbf{W}_q \in R^{h * q}\), \(\mathbf{W}_k \in R^{h * k}\), \(\mathbf{w}_v \in R^h\)。
相当于将query和key拼接后输入到单隐藏层的mlp中,隐藏单元个数为h,激活函数为tanh,不使用bias。
class AdditiveAttention(nn.Module):
"""加性注意力"""
def __init__(self, key_size, query_size, num_hiddens, dropout, **kwargs):
super(AdditiveAttention, self).__init__(**kwargs)
self.W_k = nn.Linear(key_size, num_hiddens, bias=False)
self.W_q = nn.Linear(query_size, num_hiddens, bias=False)
self.w_v = nn.Linear(num_hiddens, 1, bias=False)
self.dropout = nn.Dropout(dropout)
def forward(self, queries, keys, values, valid_lens):
queries, keys = self.W_q(queries), self.W_k(keys)
# 在维度扩展后,
# queries的形状:(batch_size,查询的个数,1,num_hidden)
# key的形状:(batch_size,1,“键-值”对的个数,num_hiddens)
# 使用广播方式进行求和
features = queries.unsqueeze(2) + keys.unsqueeze(1)
features = torch.tanh(features)
# self.w_v仅有一个输出,因此从形状中移除最后那个维度。
# scores的形状:(batch_size,查询的个数,“键-值”对的个数)
scores = self.w_v(features).squeeze(-1)
self.attention_weights = masked_softmax(scores, valid_lens)
# values的形状:(batch_size,“键-值”对的个数,值的维度)
return torch.bmm(self.dropout(self.attention_weights), values)
查询、键和值的形状为(批量大小,步数或词元序列长度,特征大小),假设
- 查询的形状为(2, 1, 20)
- 键的形状为(2, 10, 2)
- 值的形状为(2, 10 ,4)
则注意力汇聚(attention pooling)的输出的形状为(2, 1, 4)。(batch_size, num_query, value_len)
3.3 缩放点积注意力
如果查询(query)和键(key)长度相同,都为\(d\),则可以使用缩放点积注意力,计算效率更高。
缩放点积注意力(scaled dot-product attention)评分函数:
缩放点积注意力为:
- 为什么要除以\(\sqrt{d}\):由于Query和Key的点积操作使得结果方差变大\(d\)倍,导致softmax后的值很接近one-hot,模型容易出现梯度消失现象。因此需要除以\(\sqrt{d}\)减小方差,避免梯度消失问题。
- 可以通过dropout 对模型正则化
class DotProductAttention(nn.Module):
"""缩放点积注意力"""
def __init__(self, dropout, **kwargs):
super(DotProductAttention, self).__init__(**kwargs)
self.dropout = nn.Dropout(dropout)
# queries的形状:(batch_size,查询的个数,d)
# keys的形状:(batch_size,“键-值”对的个数,d)
# values的形状:(batch_size,“键-值”对的个数,值的维度)
# valid_lens的形状:(batch_size,)或者(batch_size,查询的个数)
def forward(self, queries, keys, values, valid_lens=None):
d = queries.shape[-1]
# 设置transpose_b=True为了交换keys的最后两个维度
scores = torch.bmm(queries, keys.transpose(1,2)) / math.sqrt(d)
self.attention_weights = masked_softmax(scores, valid_lens)
return torch.bmm(self.dropout(self.attention_weights), values)
4. 使用注意力机制的seq2seq模型 (Bahdanau 注意力)
机器翻译中,每个生成的词可能像关于源句子中的不同的词。
- 之前讲的seq2seq,在每个解码步骤中都使用相同的上下文变量
- Bahdanau等人提出,如果不是所有输入词元都相关,模型将仅对齐输入序列中与当前预测相关的部分。

- 编码器对每次词的输出作为key和value(它们是一样的)
- 解码器RNN对上一个词的输出是query
- 注意力的输出和下一个词的embedding合并进入RNN
- 注意力机制考验根据解码器RNN的输出来匹配到合适的编码器RNN的输出来更有效的传递信息。
编码器不变,需要修改解码器
class Seq2SeqAttentionDecoder(AttentionDecoder):
def __init__(self, vocab_size, embed_size, num_hiddens, num_layers,
dropout=0, **kwargs):
super(Seq2SeqAttentionDecoder, self).__init__(**kwargs)
self.attention = d2l.AdditiveAttention(
num_hiddens, num_hiddens, num_hiddens, dropout)
self.embedding = nn.Embedding(vocab_size, embed_size)
self.rnn = nn.GRU(
embed_size + num_hiddens, num_hiddens, num_layers,
dropout=dropout)
self.dense = nn.Linear(num_hiddens, vocab_size)
def init_state(self, enc_outputs, enc_valid_lens, *args):
# outputs的形状为(batch_size,num_steps,num_hiddens).
# hidden_state的形状为(num_layers,batch_size,num_hiddens)
outputs, hidden_state = enc_outputs
return (outputs.permute(1, 0, 2), hidden_state, enc_valid_lens)
def forward(self, X, state):
# enc_outputs的形状为(batch_size,num_steps,num_hiddens).
# hidden_state的形状为(num_layers,batch_size,
# num_hiddens)
enc_outputs, hidden_state, enc_valid_lens = state
# 输出X的形状为(num_steps,batch_size,embed_size)
X = self.embedding(X).permute(1, 0, 2)
outputs, self._attention_weights = [], []
for x in X:
# query的形状为(batch_size,1,num_hiddens)
query = torch.unsqueeze(hidden_state[-1], dim=1)
# context的形状为(batch_size,1,num_hiddens)
context = self.attention(
query, enc_outputs, enc_outputs, enc_valid_lens)
# 在特征维度上连结
x = torch.cat((context, torch.unsqueeze(x, dim=1)), dim=-1)
# 将x变形为(1,batch_size,embed_size+num_hiddens)
out, hidden_state = self.rnn(x.permute(1, 0, 2), hidden_state)
outputs.append(out)
self._attention_weights.append(self.attention.attention_weights)
# 全连接层变换后,outputs的形状为
# (num_steps,batch_size,vocab_size)
outputs = self.dense(torch.cat(outputs, dim=0))
return outputs.permute(1, 0, 2), [enc_outputs, hidden_state,
enc_valid_lens]
@property
def attention_weights(self):
return self._attention_weights
训练模型
embed_size, num_hiddens, num_layers, dropout = 32, 32, 2, 0.1
batch_size, num_steps = 64, 10
lr, num_epochs, device = 0.005, 250, d2l.try_gpu()
train_iter, src_vocab, tgt_vocab = d2l.load_data_nmt(batch_size, num_steps)
encoder = d2l.Seq2SeqEncoder(
len(src_vocab), embed_size, num_hiddens, num_layers, dropout)
decoder = Seq2SeqAttentionDecoder(
len(tgt_vocab), embed_size, num_hiddens, num_layers, dropout)
net = d2l.EncoderDecoder(encoder, decoder)
d2l.train_seq2seq(net, train_iter, lr, num_epochs, tgt_vocab, device)
5. 自注意力和位置编码
给定词元序列\(x_1, x_2, ... ,x_n\),其中\(x_i \in R^d\)。即序列长度为\(n\),每个词元的维度为\(d\)。
自注意力输出为一个长度为\(n\)的序列\(y_1, y_2, ... , y_n\),其中:
- 自注意力池化层将\(x_i\)当作key, value, query来对序列抽取特征

5.1 CNN、RNN和self-attention的比较

| CNN | RNN | self-attention | |
|---|---|---|---|
| 计算复杂度 | \(O(knd^2)\) | \(O(nd^2)\) | \(O(n^2d)\) |
| 并行度 | \(O(n)\) | \(O(1)\) | \(O(n)\) |
| 最长路径 | \(O(\frac{n}{k})\) | \(O(n)\) | \(O(1)\) |
- \(n\)为序列的长度,\(k\)为CNN的窗口大小,\(d\)为词元的维度。
- self-attention在处理长序列时(\(n\)很大时),计算复杂度高。
- CNN和self-attention的并行度好;RNN由于顺序操作,并行度不好。
- 任何的序列位置组合之间的路径越短,能更轻松地学习序列中的远距离依赖关系。
5.2 位置编码 (positional encoding)
为了使用序列的顺序信息,可以通过在输入表示中添加位置编码,来注入绝对的或相对的位置信息。
位置编码
- 可以通过学习得到
- 也可以通过公式得到固定位置编码
下面介绍的是基于正弦函数和余弦函数的固定位置编码。
- 假设输入\(X \in R^{n \times d}\),则位置编码为形状相同的矩阵,即\(P \in R^{n \times d}\)。输入为\(X + P\).
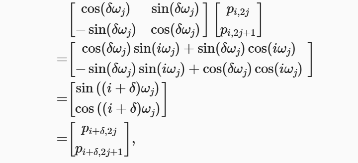
位置编码 \(P\)矩阵 的第\(i\)行、第\(2j\)列和第\(2j+1\)列上的元素为:
除了绝对位置信息,上述固定编码还能学习到输入序列中的相对位置信息。
给定位置偏移\(\delta\),位置\(i + \delta\)的位置编码可以通过位置\(i\)处的位置编码进行线性变换得到。

6. 多头注意力 (multihead attention)
给定相同的key, value, query时,我们希望基于相同的注意力机制学习到不同的行为,然后将不同的行为作为知识组合起来(如短距离依赖、长距离依赖)。
这些知识的不同来源于相同query, key, value的不同的子空间表示(representation subspaces)。
- 独立学习得到\(h\)组不同的线性投影(linear projections)来变换key, value, query
- 将这\(h\)组变换后的key, value, query并行地送入注意力汇聚
- 最后将注意力汇聚地输出拼接到一起,再送入一个全连接层

每个注意力头\(h_i (i = 1, ..., h)\)的计算方式:
- query, key, value的维度分别是:\(d_q, d_k, d_v\).
- 可学习参数\(W_i^{(q)}, W_i^{(k)}, W_i^{(v)}\)的维度分别是\(p_q \times d_q, p_k \times d_k, p_v \times d_v\).
- \(f\)为注意力汇聚,如加性注意力、缩放点积注意力
将\(h\)个头输出拼接(concat)之后,再通过一个全连接层,可以得到多头注意力的输出。
- 通常选用缩放点积注意力作为注意力头
- 为了并行计算\(h\)个头,全连接层的维度通常选择为\(p_q \cdot h = p_k \cdot h = p_v \cdot h = p_o\).
- 在下面的实现中,通过
num_hiddens指定\(p_o\)
class MultiHeadAttention(nn.Module):
"""多头注意力"""
def __init__(self, key_size, query_size, value_size, num_hiddens,
num_heads, dropout, bias=False, **kwargs):
super(MultiHeadAttention, self).__init__(**kwargs)
self.num_heads = num_heads
self.attention = d2l.DotProductAttention(dropout)
self.W_q = nn.Linear(query_size, num_hiddens, bias=bias)
self.W_k = nn.Linear(key_size, num_hiddens, bias=bias)
self.W_v = nn.Linear(value_size, num_hiddens, bias=bias)
self.W_o = nn.Linear(num_hiddens, num_hiddens, bias=bias)
def forward(self, queries, keys, values, valid_lens):
# queries,keys,values的形状:
# (batch_size,查询或者“键-值”对的个数,num_hiddens)
# valid_lens 的形状:
# (batch_size,)或(batch_size,查询的个数)
# 经过变换后,输出的queries,keys,values 的形状:
# (batch_size*num_heads,查询或者“键-值”对的个数,
# num_hiddens/num_heads)
queries = transpose_qkv(self.W_q(queries), self.num_heads)
keys = transpose_qkv(self.W_k(keys), self.num_heads)
values = transpose_qkv(self.W_v(values), self.num_heads)
if valid_lens is not None:
# 在轴0,将第一项(标量或者矢量)复制num_heads次,
# 然后如此复制第二项,然后诸如此类。
valid_lens = torch.repeat_interleave(
valid_lens, repeats=self.num_heads, dim=0)
# output的形状:(batch_size*num_heads,查询的个数,
# num_hiddens/num_heads)
output = self.attention(queries, keys, values, valid_lens)
# output_concat的形状:(batch_size,查询的个数,num_hiddens)
output_concat = transpose_output(output, self.num_heads)
return self.W_o(output_concat)
def transpose_qkv(X, num_heads):
"""为了多注意力头的并行计算而变换形状"""
# 输入X的形状:(batch_size,查询或者“键-值”对的个数,num_hiddens)
# 输出X的形状:(batch_size,查询或者“键-值”对的个数,num_heads,
# num_hiddens/num_heads)
X = X.reshape(X.shape[0], X.shape[1], num_heads, -1)
# 输出X的形状:(batch_size,num_heads,查询或者“键-值”对的个数,
# num_hiddens/num_heads)
X = X.permute(0, 2, 1, 3)
# 最终输出的形状:(batch_size*num_heads,查询或者“键-值”对的个数,
# num_hiddens/num_heads)
return X.reshape(-1, X.shape[2], X.shape[3])
def transpose_output(X, num_heads):
"""逆转transpose_qkv函数的操作"""
X = X.reshape(-1, num_heads, X.shape[1], X.shape[2])
X = X.permute(0, 2, 1, 3)
return X.reshape(X.shape[0], X.shape[1], -1)
最终输出的形状为(batch_size, num_queries, num_hiddens).

浙公网安备 33010602011771号