聚类算法的评估
聚类算法的评估
本博客根据 百面机器学习,算法工程师带你去面试 一书总结归纳,公式图片均出自该书.
本博客仅为个人总结学习,非商业用途,侵删.
网址 http://www.ptpress.com.cn
数据的聚类依赖于实际需求, 同时也依赖于数据的特征度量以及评估数据相似性的方法。相比于监督学习, 非监督学习通常没有标注数据,** 模型、 算法的设计**直接影响最终的输出和模型的性能。 为了评估不同聚类算法的性能优劣, 我们需要了解常见的数据簇的特点。
- 以中心定义的数据簇:这类数据集合倾向于球形分布, 通常中心被定义为质心, 即此数据簇中所有点的平均值。 集合中的数据到中心的距离相比到其他
簇中心的距离更近。 - 以密度定义的数据簇: 这类数据集合呈现和周围数据簇明显不同的密度, 或稠密或稀疏。 当数据簇不规则或互相盘绕, 并且有噪声和离群点时, 常常使
用基于密度的簇定义。 - 以连通定义的数据簇: 这类数据集合中的数据点和数据点之间有连接关系,整个数据簇表现为图结构。 该定义对不规则形状或者缠绕的数据簇有效。
- 以概念定义的数据簇: 这类数据集合中的所有数据点具有某种共同性质。
聚类评估的任务是估计在数据集上进行聚类的可行性, 以及聚类方法产生结果的质量。 分为以下三个子任务:
-
估计聚类趋势。这一步骤是检测数据分布中是否存在非随机的簇结构。如果数据是基本随机的, 那么聚类的结果也是毫无意义的。
-
可以观察聚类误差是否随聚类类别数量的增加而单调变化,如果数据是基本随机的,那么聚类误差随聚类类别数量的增加而变化的幅度就不显著,找不到一个合适的K对应数据的真是簇数。
-
我们也可以应用霍普金斯统计量(Hopkins Statistic) 来判断数据在空间上的随机性。 步骤如下:
首先,从所有样本中随机找n个点,然后为每一个点在样本空间中找到一个离他最近的点,并计算它们之间的聚类\(x_i\),从而得到距离向量\(x_1,x_2,...,x_n\);
然后,从样本的可能取值范围内随机生成n个点,对每一个随机生产的点,找到一个离它最近的样本点,并计算它们之间的距离,得到\(y_1,y_2,...,y_n\)。霍普金斯统计量H可以表示为:
,如果样本接近随机分布, 那么
和
的取值应该比较接近, 即H的值接近于0.5; 如果聚类趋势明显, 则随机生成的样本点距离应该远大于实际样本点的距离, 即
, H的值接近于1。
-
-
判定数据簇数。确定聚类趋势之后, 我们需要找到与真实数据分布最为吻合的簇数, 据此判定聚类结果的质量。 例如用手肘法和Gap Statistic方法。 需要说明的是, 用于评估的最佳数据簇数可能与程序输出的簇数是不同的。
-
测定聚类质量。在无监督的情况下, 我们可以通过考察簇间的分离情况和簇内的紧凑情况来评估聚类的效果。
下面为几种常用的指标:-
轮廓系数: 给定一个点p, 该点的轮廓系数定义为
![]()
其中a(p)是点p与同一簇中的其他点p’之间的平均距离; b(p)是点p与另一个不同簇中的点之间的最小平均距离(如果有n个其他簇, 则只计算和点p最接近的一簇中的点与该点的平均距离) 。 a(p)反映的是p所属簇中数据的紧凑程度, b(p)反映的是该簇与其他临近簇的分离程度。 显然, b(p)越大, a(p)越小, 对应的聚类质量越好, 因此我们将所有点对应的轮廓系数s(p)求平均值来度量聚类结果的质量。即s(p)越接近于1,聚类效果越好。 -
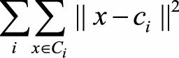
均方根标准偏差(Root-mean-square standard deviation, RMSSTD) : 用来衡量聚结果的同质性, 即紧凑程度, 定义为
![]()
其中\(C_i\)代表第i个簇, \(c_i\)是该簇的中心, x∈ \(C_i\)代表属于第i个簇的一个样本点, \(n_i\)为第i个簇的样本数量, P为样本点对应的向量维数。 可以看出, 分母对点的维度P做了惩罚, 维度越高, 则整体的平方距离度量值越大。
, 其中n为样本点的总数, NC为聚类簇的个数, 通常NC<<n, 因此
的值接近点的总数, 为一个常数。 综上, RMSSTD可以看作是经过归一化的标准差。该值越小越好。 -
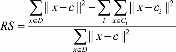
R方(R-Square) : 可以用来衡量聚类的差异度,定义为:
,
其中D代表整个数据集, c代表数据集D的中心点, 从而
代表将数据集D看作单一簇时的平方误差和。 与上一指标RMSSTD中的定义相同,
代表将数据集聚类之后的平方误差和, 所以RS代表了聚类之后的结果与聚类之前相比, 对应的平方误差和指标的改进幅度。该幅度越大越好。 -
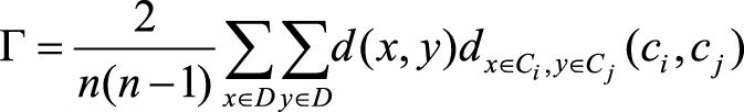
改进的HubertΓ统计: 通过数据对的不一致性来评估聚类的差异, 定义为
![]()
其中d(x,y) 表示点x到点y之间的距离,
代表点x所在的簇中心\(c_i\)与点y所在的簇中心\(c_j\)之间的距离,
为所有(x,y)点对的个数, 因此指标相当于对每个点对的和做了归一化处理。 理想情况下, 对于每个点对(x,y), 如果d(x,y)越小,对应的
也应该越小( 特别地, 当它们属于同一个聚类簇时,
=0) ; 当d(x,y)越大时,
的取值也应当越大, 所以Γ值越大说明聚类的结果与样本的原始距离越吻合, 也就是聚类质量越高。
-

,
和
的取值应该比较接近, 即H的值接近于0.5; 如果聚类趋势明显, 则随机生成的样本点距离应该远大于实际样本点的距离, 即
, H的值接近于1。

, 其中n为样本点的总数, NC为聚类簇的个数, 通常NC<<n, 因此
的值接近点的总数, 为一个常数。 综上, RMSSTD可以看作是经过归一化的标准差。该值越小越好。
,
代表将数据集D看作单一簇时的平方误差和。 与上一指标RMSSTD中的定义相同,
代表将数据集聚类之后的平方误差和, 所以RS代表了聚类之后的结果与聚类之前相比, 对应的平方误差和指标的改进幅度。该幅度越大越好。
代表点x所在的簇中心
为所有(x,y)点对的个数, 因此指标相当于对每个点对的和做了归一化处理。 理想情况下, 对于每个点对(x,y), 如果d(x,y)越小,对应的
浙公网安备 33010602011771号