[转载]为什么当一个角theta(θ)很小时sin theta约等于theta
以下内容转载自https://math.stackexchange.com/questions/870092/why-is-sind-phi-d-phi-where-d-phi-is-very-small
其中一个答案是:
Just draw the diagram!
What does sinx mean? it's the ratio of the opposite side to the hypotenuse in a triangle.
Now, let's draw a triangle with a small angle x inside the unit circle:

Now clearly, when the angle becomes really small, the opposite side is approximately the arc length. In radians, the arc length in a unit circle is exactly the angle x, and so we have for small angles:

If you are familiar with Taylor series you know that the series of sin(x) expanded at 0 is:

Then, if x is very small you can neglect all term of order greater than one getting:

You can also show this result using basic trigonometry but this approach seems easier to me.
还有一个答案是:
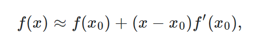
You can give a linear approximation for sin near 0 based on this formula:

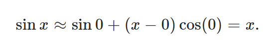
and using the fact that: sin′=cos, you get:

So when x is very small, you have that sinx∼x.
What this intuitively means, is that when you observe closely the graph of the curve sinx near 0, it starts to resemble a line, and this line is described by y=x.
XXX
浙公网安备 33010602011771号