基于光伏风电的混合直流微电网的电池储能控制系统simulink建模与仿真
1.课题概述
该系统主要由光伏模块、风力发电机、电池储能系统、PI控制器以及负载等部分组成。光伏模块和风力发电机将太阳能和风能转化为电能。电池储能系统通过PI控制器实现对电池的控制。上述模块通过simulink建模实现。
2.系统仿真结果
光伏发电模块的测试数据:




3.核心程序与模型
版本:MATLAB2022a

4.系统原理简介
光伏模块:光伏电池的输出特性可以用以下方程描述:

风力发电机的输出功率与风速的关系通常可以表示为:

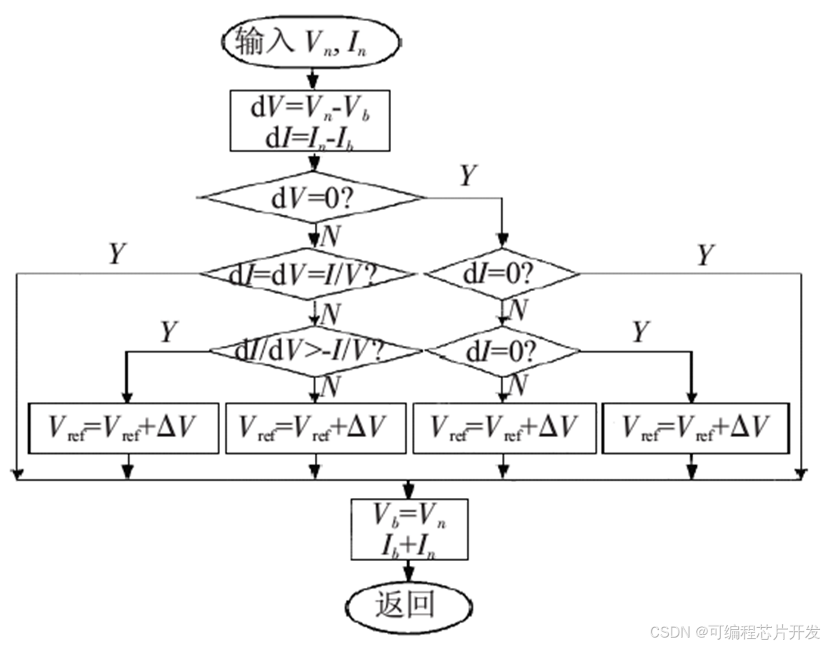
对于光伏和风电系统,为了充分利用可再生能源,控制系统采用最大功率点跟踪技术。通过监测光伏阵列的输出电压和电流或风力发电机的转速和输出功率等参数,采用如扰动观察法、增量电导法等算法,使光伏阵列或风力发电机始终工作在最大功率点附近,提高能源利用效率。,MPPT的流程如下图所示:

电池储能控制系统通过监测直流母线电压来调节电池的充放电功率。当直流母线电压升高时,说明电源侧功率过剩,控制系统会增加电池的充电功率,吸收多余的电能;当直流母线电压降低时,控制系统会增加电池的放电功率,向直流母线注入电能,维持直流母线电压的稳定。同时,为了保证整个微电网的功率平衡,控制系统还会根据光伏、风电的发电功率以及负载的变化情况,合理分配电池储能系统的充放电功率,确保系统的稳定运行。

浙公网安备 33010602011771号