PEM燃料电池启停控制策略优化的simulink建模与仿真
1.课题概述
PEM燃料电池启停控制策略优化的simulink建模与仿真。
1.燃料电池提供是燃料转换为电能和热能的装置。
2.功率的输出的改变通过很多因素,如温度,压力和老化。
3.长时间的使用也降低了燃料电池的功率。
4.这个过程通过操作有很大的影响。很高的流体动力学,当前的燃料电池供应不足或者长时间的停顿支持着并不是想要的功率的下降需要有效的operation 策略。
5.对于pem 燃料电池开启和停顿的operation 策略在考虑到很多因素下去评估。这个 operation 的策略的需要建模和仿真。
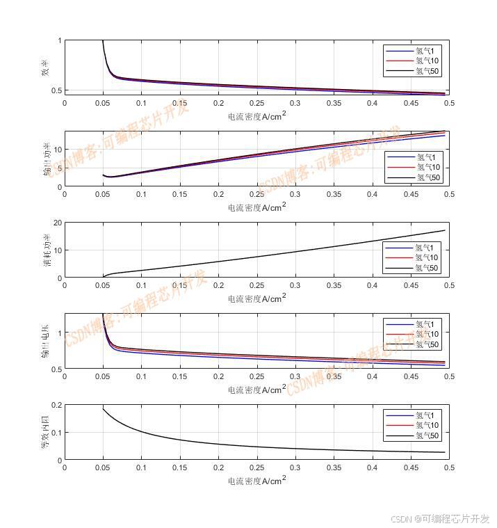
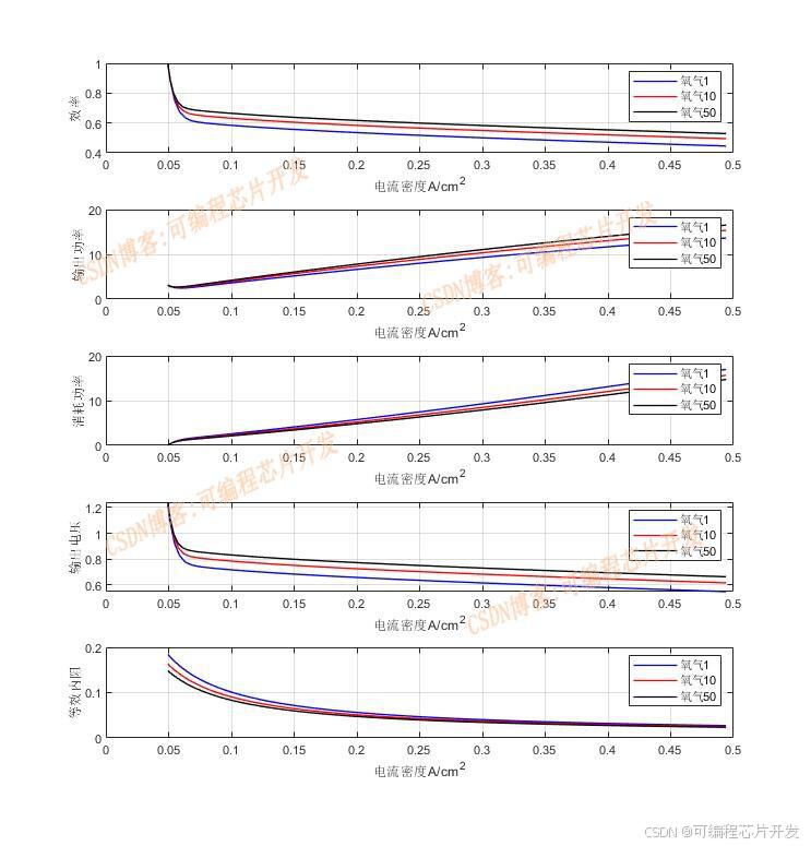
2.系统仿真结果
(完整程序运行后无水印)







3.核心程序与模型
版本:MATLAB2022a


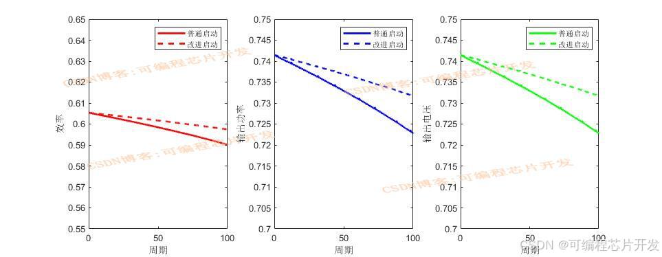
[new_efficiency1,new_time1] = func_prediction(efficiency1,cycle1,Cycles,K);
[new_efficiency2,new_time2] = func_prediction(efficiency2,cycle2,Cycles,K);
figure(1);
plot(new_time1,new_efficiency1,'r-o','MarkerEdgeColor','k','MarkerFaceColor','g','MarkerSize',5);
hold on;
plot(new_time2,new_efficiency2,'b-s','MarkerEdgeColor','k','MarkerFaceColor','c','MarkerSize',5);
hold on;
grid on;
title('效率预测');
% legend('普通启动方式','改进启动方式');
V1 = find(new_efficiency1<Efficiency);
plot(new_time1(1:V1(1)),new_efficiency1(V1(1))*ones(1,V1(1)),'g','Linewidth',1);
hold on;
plot(new_time1(V1(1))*ones(size(0:0.001:new_efficiency1(V1(1)))),0:0.001:new_efficiency1(V1(1)),'g','Linewidth',2);
hold on;
V2 = find(new_efficiency2<Efficiency);
plot(new_time2(1:V2(1)),new_efficiency2(V2(1))*ones(1,V2(1)),'m','Linewidth',1);
hold on;
plot(new_time2(V2(1))*ones(size([0:0.001:new_efficiency2(V2(1))])),0:0.001:new_efficiency2(V2(1)),'m','Linewidth',2);
xlabel('循环启动次数');
ylabel('效率');
[new_output_voltage1,new_time1] = func_prediction(output_voltage1,cycle1,Cycles,K);
[new_output_voltage2,new_time2] = func_prediction(output_voltage2,cycle2,Cycles,K);
figure(3);
plot(new_time1,new_output_voltage1,'r-o','MarkerEdgeColor','k','MarkerFaceColor','g','MarkerSize',5);
hold on;
plot(new_time2,new_output_voltage2,'b-s','MarkerEdgeColor','k','MarkerFaceColor','c','MarkerSize',5);
hold on;
grid on;
title('输出电压预测');
% legend('普通启动方式','改进启动方式');
xlabel('循环启动次数');
ylabel('输出电压');
V1 = find(new_output_voltage1<Output_voltage);
plot(new_time1(1:V1(1)),new_output_voltage1(V1(1))*ones(1,V1(1)),'g','Linewidth',1);
hold on;
plot(new_time1(V1(1))*ones(size(0:0.001:new_output_voltage1(V1(1)))),0:0.001:new_output_voltage1(V1(1)),'g','Linewidth',2);
hold on;
V2 = find(new_output_voltage2<Output_voltage);
plot(new_time2(1:V2(1)),new_output_voltage2(V2(1))*ones(1,V2(1)),'m','Linewidth',1);
hold on;
plot(new_time2(V2(1))*ones(size(0:0.001:new_output_voltage2(V2(1)))),0:0.001:new_output_voltage2(V2(1)),'m','Linewidth',2);
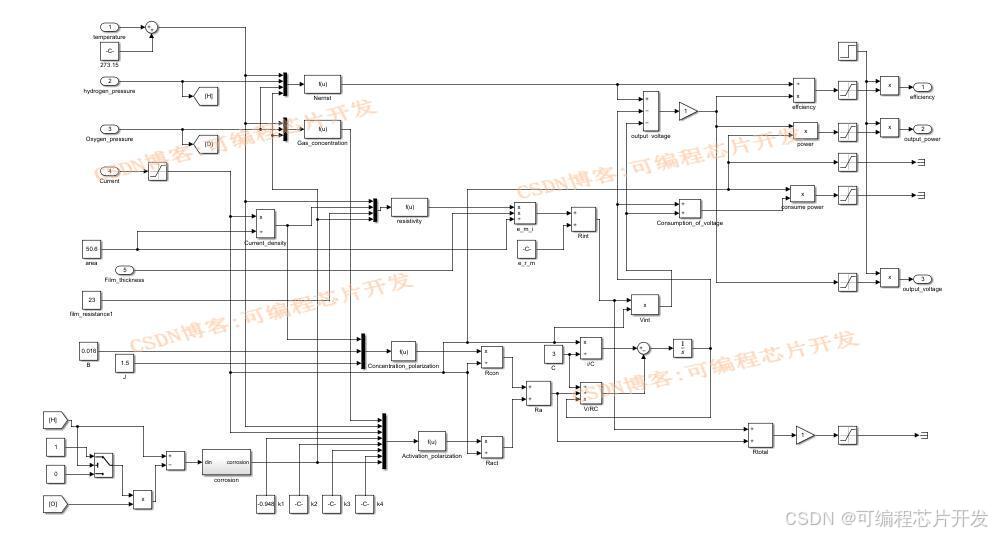
4.系统原理简介
质子交换膜燃料电池是一种直接将化学能转化为电能的装置,具有高效率、低排放和快速响应等特点。PEMFC由阳极、阴极和质子交换膜组成。在阳极,氢气被氧化产生质子和电子;在阴极,质子与氧气反应生成水。质子交换膜允许质子通过,阻止电子传递,电子只能通过外部电路流动,从而产生电流。在实际应用中,PEMFC需要频繁启动和停止以适应负载变化或进行维护。然而,频繁的启停会导致膜和催化剂的损伤,影响电池寿命。因此,优化启停控制策略对于延长PEMFC寿命至关重要。
启停控制策略优化的目标主要包括:
减少启动时间和启动能耗:尽可能快地达到稳定工作状态,减少启动过程中消耗的能量。
降低停止过程中的压力损失:减小停止过程中的压力损失,避免对电池组件造成损伤。
提高电池寿命:通过合理的启停策略,减少对电池材料的物理和化学损伤,延长电池使用寿命。
启动过程可以分为几个阶段:预充、加热、加湿和加载。

停止过程主要包括卸载、冷却、排水和关断。

启停控制策略优化对于提高PEMFC的性能和寿命至关重要。通过建立精确的数学模型和采用有效的优化算法,可以显著改善启停过程中的各项指标。未来的研究将继续探索更高效的控制策略和更复杂的优化方法,以应对不断发展的PEMFC技术和应用场景。

浙公网安备 33010602011771号