基于爬山法MPPT和PI的直驱式永磁同步风力发电机控制系统simulink建模与仿真
1.课题概述
基于爬山法最大功率点跟踪 (Maximum Power Point Tracking, MPPT) 和比例积分控制器 (Proportional Integral, PI) 的直驱式永磁同步风力发电机 (Permanent Magnet Synchronous Generator, PMSG) 控制系统是一种常用的风力发电系统控制策略。本课题将实现基于爬山法MPPT和PI的直驱式永磁同步风力发电机控制系统simulink建模与仿真。
2.系统仿真结果
(完整程序运行后无水印)









3.核心程序与模型
版本:MATLAB2022a

4.系统原理简介
4.1 PMSM
直驱式永磁同步风力发电机是一种直接与风轮相连的发电机,无需齿轮箱,因此具有更高的效率和可靠性。PMSG 的电磁转矩和输出功率可以通过以下方程表示:

4.2 MPPT
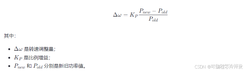
最大功率点跟踪 (MPPT) 控制的目标是在不同的风速条件下使风力发电机运行在其最大功率点上,以提高能量转换效率。爬山法 MPPT 是一种常用的方法,它通过不断调整发电机的转速来跟踪最大功率点。爬山法 MPPT 通过测量发电机的输出功率和转速,根据功率的变化来调整发电机的转速。如果功率增加,则继续朝相同方向调整转速;如果功率减少,则反向调整转速。爬山法 MPPT 可以用以下公式表示:

4.3 PI 控制器原理
比例积分 (PI) 控制器是一种常见的反馈控制器,用于调节系统的输出使其接近期望值。在风力发电系统中,PI 控制器通常用于控制发电机的转速或电流。

基于爬山法 MPPT 和 PI 控制器的直驱式永磁同步风力发电机控制系统是一种有效的控制策略,它可以自动调整发电机的转速以确保在不同的风速条件下风力发电机都能运行在最大功率点上,从而提高能量转换效率。通过合理的控制器参数设计和精确的模型预测,可以进一步提高系统的稳定性和响应速度。

浙公网安备 33010602011771号