损失函数
https://zhuanlan.zhihu.com/p/58883095

 
 
1. 平方损失函数
平方损失函数标准形式如下:
特点:
(1)经常应用与回归问题

2. 指数损失函数(exponential loss)
指数损失函数的标准形式如下:
特点:
(1)对离群点、噪声非常敏感。经常用在AdaBoost算法中,GBDT也可以是指数损失函数。
3. log对数损失函数
log对数损失函数的标准形式如下:
特点:
(1) log对数损失函数能非常好的表征概率分布,在很多场景尤其是多分类,如果需要知道结果属于每个类别的置信度,那它非常适合。
(2)健壮性不强,相比于hinge loss对噪声更敏感。
(3)逻辑回归的损失函数就是log对数损失函数。
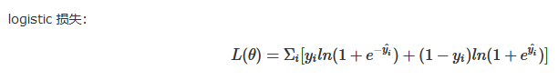
4. 交叉熵损失函数 (Cross-entropy loss function)
对θ求导:
交叉熵损失函数的标准形式如下


特点:
(1)用在逻辑回归,神经网络算法中
(2)本质上也是一种对数似然函数,可用于二分类和多分类任务中。
(3)当使用sigmoid作为激活函数的时候,常用交叉熵损失函数而不用均方误差损失函数,因为它可以完美解决平方损失函数权重更新过慢的问题,具有“误差大的时候,权重更新快;误差小的时候,权重更新慢”的良好性质。
5. 对数损失函数2
形式一:(GBDT),对f(x)求导



形式二(FM),对θ求导

 
5. 对数损失函数3
形式:xgboost

6.基尼指数
随机森林
posted on 2020-10-13 16:05 happygril3 阅读(346) 评论(0) 收藏 举报
 
                    
                     
                    
                 
                    
                 
                
            
         
 
         浙公网安备 33010602011771号
浙公网安备 33010602011771号