【Redis】2.五大常用数据类型
1. Redis基础命令
- keys *
- 查看到当前库的所有key
- exists key
- 判断某个key是否存在
- type key
- 查看某个key的类型
- del key
- 删除指定key的数据
- unlink key
- 根据value选择非阻塞删除
- expire key 10
- 给指定key设置10秒过期时间
- ttl key
- 查看key还有多少秒过期,-1表示永不过期,-2表示已过期
- select 2
- 切换2号数据库,一共16个库,0~15
- dbsize
- 查看当前数据库的key的数量
- flushdb
- 清空当前库
- flushall
- 通杀全部库
2. 原子性概述
- 原子操作指不会被线程调度机制打断的操作。这种操作一旦开始就会运行到结束,中间不会有任何context switch(切换到另一个线程)。
- 在单线程中,能够在单条指令中完成的操作都可以认为是“原子操作”,因为中断只能发生于指令之间。
- 在多线程中,不能被其他进程(线程)打断的操作就叫原子操作。
- Redis单命令的原子性主要得益于Redis的单线程。
3. 字符串String
3.1 简介
String是Redis的最基本的类型,与Memcached一样的类型,一个key对应一个value。
String类型是二进制安全的。意味着String可以包含任何数据。如序列化对象和音频文件。
字符串value最多512M。
3.2 常用命令
-
set <key> <value>
- 添加键值对
- 参数:
- NX: 当数据库中key不存在时,可以将key-value添加数据库
- XX: 当数据库中key存在时,可以将key-value添加数据库,与NX参数互斥
- EX: key的超时秒数
- PX: key的超时毫秒数,与EX互斥
-
get <key>
- 查询对应键值
-
append <key> <value>
- 将给定的<value> 追加到原值末尾
-
strlen <key>
- 获取值的长度
-
setnx <key> <value>
- key不存在时就可以添加value
-
incr <key>
- 将key中存储的数字值原子的增1,只能对数字值操作,如果为空,新增值为1
-
decr <key>
- 将key中存储的数字值原子的减1,只能对数字值操作,如果为空,新增值为-1
-
incrby/decrby <key> <步长>
- 将key中存储的数字值增减自定义大小
-
mset <key1> <value1> <key2> <value2> ......
- 同时设置一个或多个key-value对
-
mget <key1> <key2> ......
- 同时获取一个或多个value
-
msetnx <key1> <value1> <key2> <value2> ......
- 同时设置一个或多个key-value对,所有的key都不存在时才能添加成功
-
getrange <key> <起始位置> <结束位置>
- 获取值的范围,类似java的substring
-
setrange <key> <起始位置> <value>
- 用value覆写key所存储的字符串值,从<起始位置>开始(索引从0开始)
-
setex <key> <过期时间> <value>
- 设置键值的同时设置过期时间,单位为秒
-
getset <key> <value>
- 以新换旧,设置新值同时获得旧值
3.3 数据结构
String的数据结构为简单动态字符串(Simple Dynamic String,缩写SDS)。是可以修改的字符串,内部结构实现类似于Java的ArrayList,采用预分配冗余空间的方式来减少内存的频繁分配。

内部为当前字符串实际分配的空间capacity一般要高于实际字符串长度len。当字符串长度小于1M时,扩容都是加倍现有的空间,如果超过1M,扩容时一次只会多扩1M的空间。需要注意的是字符串最大长度为512M。
4. 列表List
4.1 简介
Redis 列表是简单的字符串列表,按照插入顺序排序。可以添加一个元素到列表的头部(左边)或者尾部(右边)。它的底层实际是个双向链表,对两端的操作性能很高,通过索引下标的操作中间的节点性能会较差。

4.2 常用命令
- lpush/rpush <key> <value1> <value2> <value3> ....
- 从左边/右边插入一个或多个值。
- lpop/rpop <key>
- 从左边/右边吐出一个值。值在键在,值光键亡。
- rpoplpush <key1> <key2>
- 从<key1>列表右边吐出一个值,插到<key2>列表左边。
- lrange <key> <start> <stop>
- 按照索引下标获得元素(从左到右)
- lrange mylist 0 -1
- 0左边第一个,-1右边第一个,(0-1表示获取所有)
- lindex <key> <index>
- 按照索引下标获得元素(从左到右)
- llen <key>
- 获得列表长度
- linsert <key> before <value> <newvalue>
- 在<value>的后面插入<newvalue>插入值
- lrem <key> <n> <value>
- 从左边删除n个value(从左到右)
- lset <key> <index> <value>
- 将列表key下标为index的值替换成value
4.3 数据结构
List的数据结构为快速链表quickList。
首先在列表元素较少的情况下会使用一块连续的内存存储,这个结构是ziplist,也即是压缩列表。它将所有的元素紧挨着一起存储,分配的是一块连续的内存。
当数据量比较多的时候才会改成quicklist。
因为普通的链表需要的附加指针空间太大,会比较浪费空间。比如这个列表里存的只是int类型的数据,结构上还需要两个额外的指针prev和next。

Redis将链表和ziplist结合起来组成了quicklist。也就是将多个ziplist使用双向指针串起来使用。这样既满足了快速的插入删除性能,又不会出现太大的空间冗余。
5. 集合Set
5.1 简介
Redis set对外提供的功能与list类似是一个列表的功能,特殊之处在于set是可以自动排重的,当你需要存储一个列表数据,又不希望出现重复数据时,set是一个很好的选择,并且set提供了判断某个成员是否在一个set集合内的重要接口,这个也是list所不能提供的。
Redis的Set是string类型的无序集合。它底层其实是一个value为null的hash表,所以添加、删除、查找的复杂度都是O(1)。
5.2 常用命令
- sadd <key> <value1> <value2> .....
- 将一个或多个 member 元素加入到集合 key 中,已经存在的 member 元素将被忽略
- smembers <key>
- 取出该集合的所有值。
- sismember <key> <value>
- 判断集合<key>是否为含有该<value>值,有1,没有0
- scard <key>
- 返回该集合的元素个数。
- srem <key> <value1> <value2> ....
- 删除集合中的某个元素。
- spop <key>
- 随机从该集合中吐出一个值。
- srandmember <key> <n>
- 随机从该集合中取出n个值。不会从集合中删除 。
- smove <source> <destination> <value>
- 把集合中一个值从一个集合移动到另一个集合
- sinter <key1> <key2>
- 返回两个集合的交集元素。
- sunion <key1> <key2>
- 返回两个集合的并集元素。
- sdiff <key1> <key2>
- 返回两个集合的差集元素(key1中的,不包含key2中的)
5.3 数据结构
Set数据结构是dict字典,字典是用哈希表实现的。Java中HashSet的内部实现使用的是HashMap,只不过所有的value都指向同一个对象。Redis的set结构也是一样,它的内部也使用hash结构,所有的value都指向同一个内部值。
6. 哈希Hash
6.1 简介
Redis hash 是一个键值对集合。是一个string类型的field和value的映射表,hash特别适合用于存储对象。类似Java里面的Map<String,Object>。
6.2 常用命令
- hset <key> <field> <value>
- 给<key>集合中的 <field>键赋值<value>
- hget <key1> <field>从<key1>
- 集合<field>取出 value
- hmset <key1> <field1> <value1> <field2> <value2>...
- 批量设置hash的值
- hexists <key1> <field>
- 查看哈希表 key 中,给定域 field 是否存在。
- hkeys <key>
- 列出该hash集合的所有field
- hvals <key>
- 列出该hash集合的所有value
- hincrby <key> <field> <increment>
- 为哈希表 key 中的域 field 的值加上增量 1 -1
- hsetnx <key> <field> <value>
- 将哈希表 key 中的域 field 的值设置为 value ,当且仅当域 field 不存在 .
6.3 数据结构
Hash类型对应的数据结构是两种:ziplist(压缩列表),hashtable(哈希表)。当field-value长度较短且个数较少时,使用ziplist,否则使用hashtable。
7. 有序集合Zset
7.1 简介
Redis有序集合zset与普通集合set非常相似,是一个没有重复元素的字符串集合。
不同之处是有序集合的每个成员都关联了一个评分(score),这个评分(score)被用来按照从最低分到最高分的方式排序集合中的成员。集合的成员是唯一的,但是评分可以重复。
因为元素是有序的, 所以你也可以很快的根据评分(score)或者次序(position)来获取一个范围的元素。
访问有序集合的中间元素也是非常快的,因此能够使用有序集合作为一个没有重复成员的智能列表。
7.2 常用命令
- zadd <key> <score1> <value1> <score2> <value2>…
- 将一个或多个 member 元素及其 score 值加入到有序集 key 当中。
- zrange <key> <start> <stop> [WITHSCORES]
- 返回有序集 key 中,下标在<start><stop>之间的元素。带WITHSCORES,可以让分数一起和值返回到结果集。
- zrangebyscore key minmax [withscores] [limit offset count]
- 返回有序集 key 中,所有 score 值介于 min 和 max 之间(包括等于 min 或 max )的成员。有序集成员按 score 值递增(从小到大)次序排列。
- zrevrangebyscore key maxmin [withscores] [limit offset count]
- 同上,改为从大到小排列。
- zincrby <key> <increment> <value>
- 为元素的score加上增量
- zrem <key> <value>
- 删除该集合下,指定值的元素
- zcount <key> <min> <max>
- 统计该集合,分数区间内的元素个数
- zrank <key> <value>
- 返回该值在集合中的排名,从0开始。
7.3 数据结构
SortedSet(zset)是Redis提供的一个非常特别的数据结构,一方面它等价于Java的数据结构Map<String, Double>,可以给每一个元素value赋予一个权重score,另一方面它又类似于TreeSet,内部的元素会按照权重score进行排序,可以得到每个元素的名次,还可以通过score的范围来获取元素的列表。
zset底层使用了两个数据结构:
- hash,hash的作用就是关联元素value和权重score,保障元素value的唯一性,可以通过元素value找到相应的score值。
- 跳跃表,跳跃表的目的在于给元素value排序,根据score的范围获取元素列表。
7.4 跳跃表(跳表)
7.4.1 简介
有序集合在生活中比较常见,例如根据成绩对学生排名,根据得分对玩家排名等。对于有序集合的底层实现,可以用数组、平衡树、链表等。数组不便元素的插入、删除;平衡树或红黑树虽然效率高但结构复杂;链表查询需要遍历所有效率低。Redis采用的是跳跃表。跳跃表效率堪比红黑树,实现远比红黑树简单。
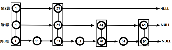
7.4.2 实例
对比有序链表和跳跃表,从链表中查询出51
(1) 有序链表

要查找值为51的元素,需要从第一个元素开始依次查找、比较才能找到。共需要6次比较。
(2) 跳跃表

- 从第2层开始,1节点比51节点小,向后比较。
- 21节点比51节点小,继续向后比较,后面就是NULL了,所以从21节点向下到第1层
- 在第1层,41节点比51节点小,继续向后,61节点比51节点大,所以从41向下
- 在第0层,51节点为要查找的节点,节点被找到,共查找4次。
从此可以看出跳跃表比有序链表效率要高。
浙公网安备 33010602011771号