会员
众包
新闻
博问
闪存
赞助商
HarmonyOS
Chat2DB
所有博客
当前博客
我的博客
我的园子
账号设置
会员中心
简洁模式
...
退出登录
注册
登录
hannahui
博客园
首页
新随笔
联系
订阅
管理
两个全息公式理解——(二)
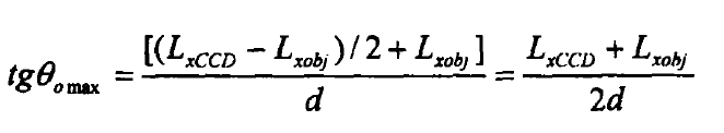
离轴角限制:
(2-21)
posted on
2023-03-17 10:42
第几个梦乘风起
阅读(
24
) 评论(
0
)
收藏
举报
刷新页面
返回顶部