Python 学习记录(5)
Scikit-Learn 数据
简单介绍:
- Scikit-Learn 除了完成监督学习和无监督学习之外,还提供了丰富地样本数据集、样本数据生成函数与数据处理方法。
- 实现机器学习算法地训练、评估与预测。
- 包含有样本数据集、生成样本数据、特征工程以及数据分割。
处理离群值
简单介绍
- 离群值也叫逸出值,是指数据集中与其他数据点有明显差异的数据点,也就是说明显地偏大或者偏小。
- 离群值会对数据分析和建模造成问题,因此需要对数据集中的离群值进行检测与处理。
- 常用的检测方法包括基于统计学的方法、基于距离的方法、基于密度的方法以及基于模型的方法。
import matplotlib.pyplot as plt
import numpy as np
from sklearn.datasets import make_blobs,make_moons
from sklearn.svm import OneClassSVM
from sklearn.covariance import EllipticEnvelope
from sklearn.ensemble import IsolationForest
#生成数据
n_samples = 500
outliers_fraction = 0.10
n_outliers=int(outliers_fraction*n_samples)
n_inliers = n_samples-n_outliers
X_outliers = np.random.uniform(low=-6,high=6,
size=(n_outliers,2))
np.random.RandomState(0)
blobs_params= dict(random_state=0,#这里先将参数定好。
n_samples=n_inliers,n_features=2)
datasets=[
#centers表明中心点在哪里,cluster_std设置集群标准差
make_blobs(centers=[[0,0],[0,0]],
cluster_std=0.5,**blobs_params)[0],
make_blobs(centers=[[2,2],[-2,-2]],
cluster_std=[0.5,0.5],**blobs_params)[0],
make_blobs(centers=[[2,2],[-2,-2]],
cluster_std=[1.5,0.3],**blobs_params)[0],
4.0*(make_moons(n_samples=n_samples,noise=0.05,
random_state=0)[0]-np.array([0.5,0.25]))]
#使用make_moons函数生成一个月牙状的簇
#处理离群值
anomaly_algorithms=[
EllipticEnvelope(contamination=outliers_fraction,
random_state=42),#创建椭圆包络的异常值检测模型。
OneClassSVM(nu=outliers_fraction,kernel="rbf",
gamma=0.1),#创建基于支持向量机的异常检测模型
IsolationForest(contamination=outliers_fraction,
random_state=42)]#创建基于隔离森林的异常检测模型
#网格化数据,用来绘制等高线。
xx,yy=np.meshgrid(np.linspace(-7,7,150),
np.linspace(-7,7,150))
xy=np.c_[xx.ravel(),yy.ravel()]#ravel方法将多维数组展平成一维数组,np.c_将下x,y的坐标一维数组组合成一个形状为(N,2)的数组,
#其中N是网格中点的数量。
colors=np.array(["#377eb8","#ff7f00"])
#可视化
fig=plt.figure(figsize=(8,12))
plot_idx=1#表明图片位置
for idx,X in enumerate(datasets):
X=np.concatenate([X,X_outliers],axis=0)
for algorithm in anomaly_algorithms:
algorithm.fit(X)#先对样本数据进行拟合
y_pred = algorithm.fit(X).predict(X)#之后预测数据点是否为异常值
ax=fig.add_subplot(4,3,plot_idx);plot_idx+=1
Z=algorithm.predict(xy)
Z=Z.reshape(xx.shape)
#绘制边界
ax.contour(xx,yy,Z,levels=[0],
linewidths=2,colors="black")
#绘制散点数据集
ax.scatter(X[:,0],X[:,1],s=10,
#用两种不同颜色进行分别
color=colors[(y_pred+1)//2])
ax.set_xlim(-7,7);ax.set_ylim(-7,7)
ax.set_xticks([]);ax.set_yticks([])
结果:

从代码与最后的可视化情况来看,我们了解到为同意样本数据由三种不同方法进行处理。
拆分数据
简单介绍:
- 在机器学习中数据集分成两种一是训练集,二是测试集。
- 下面使用鸢尾花数据来实现数据的拆分。
from sklearn.datasets import load_iris
from sklearn.model_selection import train_test_split
import matplotlib.pyplot as plt
import pandas as pd
import numpy as np
import seaborn as sns
X,y=load_iris(return_X_y=True)
X_train,X_test,y_train,y_test = train_test_split(
X,y,test_size=0.2)#将数据集分别分成训练集和测试集
#可视化函数
def visualize(df):
fig,axs=plt.subplots(1,2,
#设置宽度比例,要求第一图宽度比例是二图的4倍
gridspec_kw={'width_ratios':[4,1]})
sns.heatmap(df.iloc[:,0:-1],
cmap='RdYlBu_r',yticklabels=False,
cbar=False,ax=axs[0])
sns.heatmap(df.iloc[:,[-1]],
cmap='Set3',yticklabels=False,
cbar=False,ax=axs[1])
columns=['Sepal length,X1','Sepal width,X2',
'Petal length,X3','Petal width,X4',
'Species']
df_full=pd.DataFrame(np.c_[X,y],columns=columns)
visualize(df_full)
df_train=pd.DataFrame(np.c_[X_train,y_train],columns=columns)
df_test=pd.DataFrame(np.c_[X_test,y_test],columns=columns)
visualize(df_test)
结果:


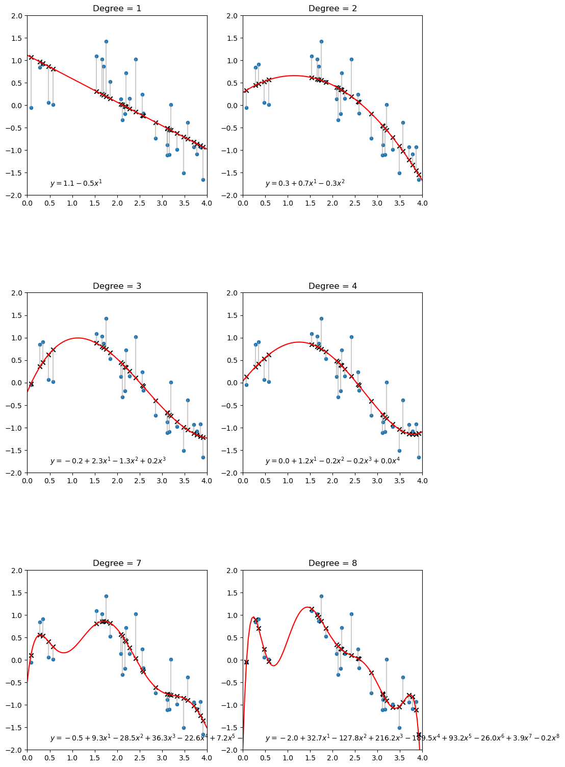
多项式回归
简单介绍
- 是一种线性回归的扩展,允许我们通过引入多项式来建模非线性关系。
- 从数据角度看,原本单一特征数据,利用简单数学运算,便能获得多特征数据。
- 从函数角度看,多项式回归模型好比若干曲线叠加的结果。
import numpy as np
import matplotlib.pyplot as plt
from sklearn.preprocessing import PolynomialFeatures
#PolynomialFeatures 通过设置特定的阶数来生成不同阶数的多项式特征
from sklearn.linear_model import LinearRegression
#生成随机数
np.random.seed(0)
num=30
X = np.random.uniform(0,4,num)
y = np.sin(0.4*np.pi*X) + 0.4 * np.random.randn(num)
data = np.column_stack([X,y])
x_array = np.linspace(0,4,101).reshape(-1,1)
degree_array = [1,2,3,4,7,8]
fig,axes=plt.subplots(3,2,figsize=(10,20))
axes=axes.flatten()
for ax,degree_idx in zip(axes,degree_array):
#生成多项式回归的最高阶数
poly = PolynomialFeatures(degree = degree_idx)
#这里将一维数据X进行形状变换,转换成一个二位数组。列数为1,每行一个样本,每列一个特征
X_poly = poly.fit_transform(X.reshape(-1,1))
#训练线性回归模型
poly_reg = LinearRegression()
#开始加载数据,进行训练
poly_reg.fit(X_poly,y)
#进行预测
y_poly_pred = poly_reg.predict(X_poly)
data_ = np.column_stack([X,y_poly_pred])
#主要对x_array运用模型进行预测
y_array_pred = poly_reg.predict(poly.fit_transform(x_array))
#绘制散点图
ax.scatter(X,y,s=20)
ax.scatter(X,y_poly_pred,marker='x',color='k')
ax.plot(([i for (i,j) in data_ ],[i for (i,j) in data]),
([j for (i,j) in data_ ],[j for (i,j) in data]),
c=[0.6,0.6,0.6],alpha = 0.5)
ax.plot(x_array,y_array_pred,color='r')
ax.set_title('Degree = %d'% degree_idx)
#提取参数
coef = poly_reg.coef_
intercept = poly_reg.intercept_
#回归解析式
equation = '$y={:.1f}'.format(intercept)
for j in range(1,len(coef)):
equation += ' + {:.1f}x^{}'.format(coef[j],j)
equation += '$'
equation = equation.replace("+ -","-")
#标注位置,使用text()函数其中参数为坐标
ax.text(0.5,-1.8,equation)
ax.set_aspect('equal',adjustable='box')
ax.set_xlim(0,4)
ax.grid(False)
ax.set_ylim(-2,2)
结果:

正则化:抑制过度拟合
简单介绍
- 正则化可以用来抑制过度拟合,正则项加在目标函数当中,让估计参数变小。
- 正则化有两种,一种L2正则化,也叫岭正则化;还有一种是L1正则化叫做索套正则化。其中L2有助于减小模型参数大小,L1会将某些参数缩减为零。
import numpy as np
import matplotlib.pyplot as plt
from sklearn.preprocessing import PolynomialFeatures
from sklearn.linear_model import Ridge
#Ridge可用来完成岭回归
#生成随机数
np.random.seed(0)
num=30
X=np.random.uniform(0,4,num)
y=np.sin(0.4*np.pi*X) + 0.4 * np.random.randn(num)
data=np.column_stack([X,y])
x_array=np.linspace(0,4,101).reshape(-1,1)
#产生Polynomialfeatures对象用来进行多项式特征扩展
degree=8
ploy = PolynomialFeatures(degree = degree)
X_ploy=ploy.fit_transform(X.reshape(-1,1))
fig,axes=plt.subplots(3,2,figsize=(10,20))
axes=axes.flatten()
#惩罚因子
alpha_array = [0.00001,0.0001,0.01,1,10,100]
for ax,alpha_idx in zip(axes,alpha_array):
#训练岭回归模型
ridge=Ridge(alpha=alpha_idx)
ridge.fit(X_poly,y.reshape(-1,1))
#开始预测
y_array_pred = ridge.predict(poly.fit_transform(x_array))
y_poly_pred = ridge.predict(X_poly)
data_ = np.column_stack([X,y_poly_pred])
#绘制散点图
ax.scatter(X,y,s=20)
ax.scatter(X,y_poly_pred,marker='x',color='k')
#绘制残差
ax.plot(([i for (i,j) in data_],[i for (i,j) in data]),
([j for (i,j) in data_],[j for (i,j) in data]),
c=[0.6,0.6,0.6],alpha=0.5)
ax.plot(x_array,y_array_pred,color='r')
ax.set_title('Alpha = %f'% alpha_idx)
#提取参数
coef = ridge.coef_[0]
intercept = ridge.intercept_[0]
ax.set_aspect('equal',adjustable='box')
ax.set_xlim(0,4);ax.set_ylim(-2,2);ax.grid(False)
结果:


浙公网安备 33010602011771号