推导拉格朗日函数

拉格朗日函数其实是将有条件极值求法转化为无条件极值求法,再用隐函数对公式进行替换得出拉格朗日函数。

求z=f(x,y)的极值在条件的约束下。

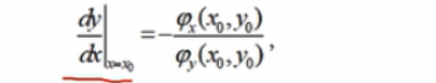
将y用x表示,对z进行x的求导。

 

 利用隐函数求出

 

 

进行替换。

得出

由此

 

 

 

posted @ 2021-07-29 16:55  祥瑞哈哈哈  阅读(841)  评论(0)    收藏  举报