CST人工电源网络阻抗计量校准
1. 概述
依据EMC标准CISPR16-1-2以及GB/T6113.102,人工电源网络(AMN)和线路阻抗稳定网络(LISN)的主要功能之一,是向EUT电源端提供规定的阻抗。
标准建议允差:模值±20%,相角±11.5°。
那么,标准“规定的阻抗”是如何得来的?在计量时如何准确测试网络真实阻抗?采用的仪器、功能、适配器和校准方法,都有什么要求?影响测量结果的关键因素有哪些?
2. 标准中网络阻抗数据来源
2.1. 标准中规定的网络阻抗参数
标准中的网络数据分频段A (9~150kHz) 和频段B (150k~30MHz) 分别给出,对应两种V型网络:50Ω|50uH+5Ω 和 50Ω|50uH。
同时标准中数据表标注说明,用于频段A的50Ω|50uH+5Ω网络,如果满足频段B的要求,也可用于150k~30MHz频段B的测试。
因此,目前市面上常见的,用于9kHz~30MHz满足CISPR标准规定的人工电源网络,采用50Ω|50uH+5Ω的设计。

2.2. 网络阻抗参数数学建模和验证
采用CST软件构建50Ω/50uH+5Ω的网络模型,分析复阻抗Z参数,仿真结果的网络阻抗数值与标准上述内容规定的数值一致。

3. 人工电源网络阻抗计量方法
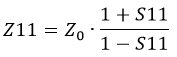
依据标准,人工电源网络的阻抗是复阻抗,包括模值和相角。因此,最合适的测量仪器是矢量网络分析仪。为了获得准确测试结果,必须采用合适的校准方法。
3.1. 校准方法
标准规定:
NOTE Because EUT connectors are not optimized for radio frequencies up to 30 MHz, the measurement of the network impedance is carried out with special measurement adaptors to enable short-length connections. The OSM (open/short/matched) calibration of the network analyzer is used to characterize the adaptors,taking the insertion loss and the conductor lengths of the adapters into account.
所以,校准参考面不能在同轴接口,是在转接适配器电源插头和地线接头之间;转接适配器的地线尽量短且应使用铜薄板等形状较为固定的连接方式;OSM校准件,需要针对所用适配器的特殊设计。因为频率相对较低,30MHz以下,因此这些校准件可以用微带和50Ω电阻设计和制作,或者连同适配器直接购买。
3.2. 测量方法
矢量网络分析仪的基本功能是S参数测量,同时,绝大多数矢量网络分析仪具有Z参数测量功能(自动通过S参数换算,给出Z参数曲线)。

矢量网络分析仪Z参数测量结果,可以显示为线性幅度模值Ω,同时也可显示相角,度°。
4. 影响测量结果的重要因素分析
4.1. 适配器地线长度影响
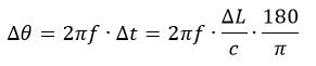
人工电源网络的阻抗相角,是以网络的接地外壳作为参考0度。
校准后的适配器接地端子,与外壳接地点之间的连接长度应该为0,校准参考面以外的延长接地线,其长度影响人工电源网络的相位测试结果:

如果 f=30MHz,∆L=200mm
所以,200mm的接地延长线,会让相角测试值比实际值大 7.2º 。
上述分析可以通过CST软件仿真完成,假设校准是在同轴端完成的(参考面R1),那么接地延长线的长度L2,对高频段相位测试的影响非常大;对模值影响不大。

调整接地线L2的长度:0/20/105/200/400mm
|
L2(mm) |
模值Ω |
相角º |
相角差值º |
|
0 |
50 |
0.3 |
0 |
|
20 |
50 |
1.02 |
0.72 |
|
105 |
50.13 |
4.08 |
3.78 |
|
200 |
50.43 |
7.5 |
7.2 |
|
400 |
51.69 |
14.7 |
14.4 |

4.2. 网络内部地线长度影响
阻抗校准测量过程中,人工电源网络的接地端子,内部导体与网络的接地外壳之间,通常有接地线,其长度L0也会影响相角,对应人工电源网络真实相角。如下图,L0由0改变为200mm,相角由0.3°变为7.5°。
这也是在实际人工电源网络阻抗测量时,相角大于0.3°,而且,不同的接地端子连接地线长度不同,所以连接不同接地端子相角测量结果可能不一样。但是,总的要求是,相角允差±11.5°。
5. 总结
标准中人工电源网络的阻抗数值来自于相应网络模型的数学网络分析,例如50Ω|50uH+5Ω网络:

l 使用矢量网络分析仪测量;
l 接适配器接地连接长度尽量短,且有专用OSM校准件;
l 校准参考面是转接适配器的DUT连接端子;
l 参考面后接地延长线的长度,对应相位增加值。
【相关内容】

浙公网安备 33010602011771号