CST软件抗反射超材料SRR涂层 --- 反射系数,反射率,相位, Floquet,THz
CST软件虽然Floquet写了这么多文章,最近发现还是很多人搞不懂Floquet端口仿真多层材料的透射反射问题,尤其是仿的哪些界面和怎么计算界面处的相位。
使用周期结构模板:

画个spacer基底,材料新定义,介电1.5,损耗0.01:



WCS放中间,画个SRR,材料新定义:


CST软件可通过substract相减完成建模,具体步骤省略:


边界换成open,这样我们好控制距离:


此时Zmin紧贴材料,所以我们仿真是一个“空气---介质”界面,如果Zmin没有紧贴,仿真的就是“空气---介质---空气”两个界面,这个很多人还搞不清楚区别:

CST软件计算相位要将端口参考到界面,这样相位是纯界面处的相位!

适当增加精确度:

由于Zmin端口接触的材料有损耗,我们需要将波导端口忽略损耗:

开始仿真。我们可新建1D结果文件夹,将S11复制进来,重命r12:

添加后处理,将S11相位unwrap,然后换成rad单位:
也新建文件夹保存相位结果:

下面我们看该图层的第二部分。WCS对齐背部中间,新建十字“网格”结构:

新建材料:
添加GaAs的基底:

然后将之前的SRR和spacer排除仿真:
此时Zmax参考到十字网格,Zmin紧贴基底,这样仿真还是一个“空气---介质”的界面:

仿真结束后,CST软件将S11结果复杂粘贴到S11:

将后处理相位结果复杂粘贴到S11 phase:

S11看linear:


S11 phase看real

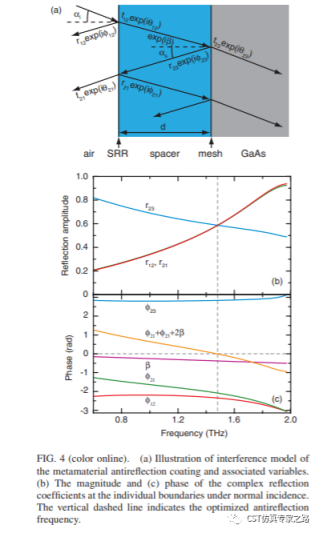
与文献一致:

CST软件下面我们看完整的涂层,将SRR和spacer加回来仿真:

对spacer厚度进行参数扫描:

虽然模板以及给出反射率透射率结果,但是横坐标是波长。如果我们要频率,最直接的还是手动后处理啦:



与文献一致:

spacer=13um时的吸波效果:

2THz的反射效果:

小结:
1)波导端口(包括Floquet端口)是吸波的,贴在材料上和没贴在材料上仿真的内容是不一样的。需要先想清楚,我们要仿真哪个或哪些个界面的反射和透射。
2)反射系数是reflection coefficient, S11; 反射率是reflectance,S11平方,不一样。
3) 可能有人问了,这里GaAs的基底厚度为什么随意定义呢?GaAs这里无损,所以对S21的振幅没有影响,厚度对S21相位有影响,我们也没看它;因为端口贴上去,相当于无限拓展,所以对另一边的S11反射相位没有影响。为什么spacer厚度有影响呢?因为spacer两边的界面都有反射透射,自然有影响。说白了,还是看仿几个界面。这里最后完整结果是两个界面“空气---spacer---GaAs”,不是“空气---spacer---GaAs---空气”三个界面哦!
【相关内容】

浙公网安备 33010602011771号