CST软件如何确定Floquet模数和背景距离
CST软件如何确定Floquet模数和背景距离?这个问题还是太多人搞不清楚了,所以解答一下。之前写的很多案例都是随便提了一下:
“背景距离要够大,10mm":
“Z方向各加25mm背景”:如果按上述公式计算,需要7.8mm。
或者定性解释了一下:
下面我们定量计算一下:
首先,CST软件所有的传播模式都需要端接(terminated),也就是增加Floquet端口计算模数。传播模式就是有beta的模式。

其次,如果有倏逝波(evanescent)高次模(有Alpha的)在计算域中,我们就要判断是端口计算的模数增加(考虑他们),还是增加背景距离,让他们衰减到不了端口(不考虑他们)。
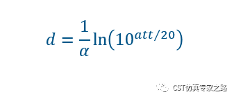
衰减Attenuatiion(dB)与背景距离(m)的关系如下


其中Alpha是衰减系数Np/m。举个例子,如果让上图中的Alpha等于402.3的高次模衰减到40dB,我们需要背景距离1/402.3*ln(10^(40/20))=11mm。
所以,结论和之前一样,端口离结构的距离不能太近(高次模影响),也不能太远(增加网格)。同样适用于波导端口在边界激励的情况。
【相关内容】

浙公网安备 33010602011771号