三角偶极子天线(上)---MIMO系统, 包络相关系数ECC和分集增益DG
这两期我们学习一下MIMO系统设计与调试。由一个三角型偶极子天线建模开始,到两个天线位置关系的对比和调试,再到四天线MIMO整体调试。

1. 单天线
用天线模板,然后画个三角形的二维曲线,参数化坐标方便以后调试:



这里Gap=3, R=1, L1=19.1。将WCS对齐在直角点,画个半径为R的圆作为截面。



用Sweep Curve功能,先选中circle1,回车,然后选polygon1。




然后我们切开直角位置。先将WCS旋转至UV平面作为切面。



用UV平面切割:

然后选择切开的面,Modify face功能将其移开L2=3:



同理移开另一个面:

在斜边上的两个切面也移开一定距离,用于定义端口:

选择两个圆边,定义端口:


频域求解器开始仿真:



可见目前天线在3.5GHz还算能工作,S11没有很好,也没有10dB带宽。阻抗为26.8欧姆,虽没有匹配到我们的端口50,但不用担心,我们仍然可以用这个设计学习和调试MIMO系统,因为其他天线加入后仍可再调匹配。

可查看频域自动计算了哪些频点:

可查看频域网格:

加上背景之后的网格:

2. 双天线---正交型
下面我们看两个天线的情况。首先是端口方向的偶极子主干相互正交的情况,也就是复制天线和端口,旋转90度:




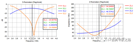
再次仿真,可见此时S11变好,Z11变好,匹配变好,带宽也很宽,深感庆幸~
多天线就可以看互偶了,S21=-4.3dB, 还是很强的。
下面我们看一下MIMO的表现,添加两个后处理,分别用S参数计算包络相关系数(Envelope Correlation Coefficient,简称ECC)和分集增益(Diversity Gain,简称DG)。






可见此时ECC=0.0125,我们以这个值为起始MIMO系统的参考表现。由于DG是直接从ECC得出的,(DG=10*sqrt(1-ECC),详情见帮助help),所以我们就关注ECC的值就好了,越低说明两个天线相关性越低,MIMO系统越好。
目前ECC=0.0125已经非常好了,现实MIMO设计中0.3以下就算不错了。那么该MIMO系统S21很强,为什么ECC还这么好呢?这要看S参数如何计算ECC。很多文献可参考:

Chen, Z. N., Low, X. N., & See, T.S. P. (2011). Analysis and Optimization of Compact Suspended Plate MIMOAntennas. IEEE Transactions on Antennas and Propagation, 59(1),263–270. doi: 10.1109/tap.2010.2090478
所以根据定义,虽然S21不够好,只要匹配的好,ECC仍然可以很低。再看下远场图,明显天线1的远场不再是偶极子甜甜圈远场了,收到下面天线的影响。
其实感兴趣的朋友可以手动输入公式验证ECC的结果:
小结:
本案例学习如何参数化建模,还有从S参数计算ECC和DG。下期我们再介绍双天线平行的情况,和四天线的MIMO,以及远场也能计算ECC和DG。

浙公网安备 33010602011771号