CST软件如何计算CMA中的模式加权系数MWC
CST 2020版本中,特征模CMA分析加入了模式加权系数(MWC)功能,用来分析激励源和特征模的耦合情况。但是常有同学提问说这个选项勾选了结果中也看不到什么区别,1D结果文档里还是特征角、特征值和模式电流系数三个文件夹,这个加权系数在哪呢?


问题原因其实还是对CMA理论了解不深,所以这问题的简单答案就是,加上端口或场源,再跑CMA就能看见加权系数的结果了。
1. 什么是MS?模式电流系数Modal Significance, 是特征值(Eigenvalue)的变式,归一化后用于更方便的表示变化剧烈且不好观察的特征值。MS展示结构有哪些内在的谐振模式,和激励无关,越接近1的频率说明该模式越容易辐射。算是CMA分析出来的一半信息,用来研究结构的内部特性。

2.什么是CA?
特征角Characteristic Angle, 也是特征值(Eigenvalue) Lamda(n)的变式,是电阻和电抗的夹角,决定电容和电感的频率区域。简单说,CA=180就对应MS=1。

3.什么是MEC?
模式激励系数Modal Excitation Coefficient, 常用Vn,Vi,表示,公式为特征电流和入射电场 内积。这里就大概可以理解算MEC需要加什么了吧?外界的入射电场呗!

所以当激励信号存在时,MEC展示哪个谐振模式容易被激发,也就是说MEC和激励信号的位置、振幅、相位、极化都有关,这就是馈电的优化问题。MEC算是CMA分析出来的另一半信息,用来找合适的馈电。
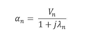
4. 什么是MWC?
最后来说模式加权系数(Modal WeightingCoefficient),用阿尔法a n表示(不要和CA的混淆!没办法,文献里都用阿尔法…)。先看导体上的电流,用特征电流作为基函数展开式:

除了特征电流Jn之外,其他的项便组成了模式加权系数,所以:

从以上的简单分析应该看出端倪了吧?MWC就等于MS 乘以MEC!所以算MWC需要端口激励,就有这个结果文档了:

最后随便附一张MWC结果图:

在后处理Combine result 这里会根据MWC各个模式自动生成激励信号,直接点击Combine,就生成新的三维场,这里和端口直接激励拿到的三维场应该是一样的。有机会我们找个案例进行精准比较再和大家分享。

CST的CMA技术每年都有一个非常得出色的功能增加,这次的MWC是不是也很有用。

浙公网安备 33010602011771号