CST软件如何计算天线系数Antenna Factor-达索官方授权
天线系数(Antenna Factor)也称天线因子,是指天线附近接收的电场强度与天线端口生成的电压比值,简单讲就是天线接收电磁波,然后转化成电信号的能力;或者反过来,激励电信号之后,天线转化成电磁波的能力。由于电场单位是V/m,所以天线系数(简称AF)的单位就是每米“/m”,如果用dB表示的话,就是dBm^-1.
首先一个问题就是,天线系数和增益有什么区别呢?直接上公式吧,对于50欧姆的天线:

或者:

可见AF是跟增益有关,而且每个频率不一样。等下我们会解释公式推导,并证明两个公式等效。
演示模型我们用天线库里面的一个喇叭天线,因为在X-方向有个同轴馈电端口。

方法1:平面波和Transient Co-simulation计算
打一个平面波给天线,场强设为1V/m便于计算,电场方向为Phi=0的平面(X轴方向):

注意该方法需要在电路中获取端口的电压,但是由于是平面波,所以要勾选superimpose plane wave excitation,使平面波用于时域电路仿真,点击Apply就行。

然后电路中加端口1:

新建Transient任务,选transient co-simulation,Tmax足够长就行:

激励选项中把端口阻抗定为50ohm:

运行Transient任务,查看端口1的频域电压:

接下来使后处理,因为电场强度为1V/m, 所以这里1除以电压:

方法2:远场增益提取
如果不用平面波模拟接收信号,我们可以从天线远场的增益来计算AF。因为要得到AF在不同频率的值,所以需要多个频点的远场结果,需要多个远场监视器,计算相对方法1较慢:

根据一开始的公式,要想计算AF,除了增益之外,还有频率属性,所以需要后处理,然后两个公式选一个用就可以了,两个公式都有频率信息,所以先把频率从x轴调去y轴:


如果用第一个公式:

先拿到增益:

然后直接写公式:

如果用另一个公式:

增益就需要线性了:

还需要波长, 所以多一步频率波长转换:

然后写公式:

可以看到两种方法,包括两个公式的结果基本都一样:

最后总结:
1)本文其实给了三个方法,可用于天线系数的计算和互相验证。
2)实际天线的AF获取也是两种方法,一种是直接从供应商得到宽频的曲线,另一种方法就是测量,将天线放在已知场强中,然后扫频的到AF,类似我们的方法1平面波。
3)天线系数在EMC仿真中比较常见,因为它可以把场强E和电压V联系起来;这个值往往是天线生产厂提供,但是它把哪些路径、损耗或匹配考虑进去,就是工程师要注意的东西,也就是说,实际中要考虑是场强和哪里的电压比的问题。
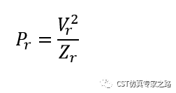
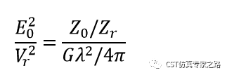
4)下面进行公式推导:
从天线基本公式开始,就是功率密度等于接收功率除以天线增益和球面:

空间功率密度是电场平方除阻抗(120pi):

天线接收功率是电压平方除阻抗(50ohm):

带入得到场强和电压的平方比:

两边都取10log(),所以左边就是AF的dB形式:
另外用到:

所以开头的两个公式就都推导完了。
【相关内容】
CST仿真实例:Interference Task车载GPS天线射频干

浙公网安备 33010602011771号