CST软件如何计算天线fidelity保真度?达索代理思茂信息
天线保真度(fidelity)是指辐射信号和输入信号的相似程度,用最大归一化值表示[-1,1]。单独天线的保真度用端口激励信号和空间探针接收信号计算;双天线的保真度可用接收天线端口信号和发射天线的激励信号计算。所以在一定空间角度范围内,归一化后的fidelity值在0.9以上是比较好的天线。
举个例子,同样是宽带天线,Viviald的保真度就比螺旋天线或者对数周期天线要好,因为前者的相位中心比较一致,对于时域天线高保真度也是一个重要的指标。
下面介绍一下如何进行保真度的计算。这里我们用CST宏自带喇叭天线为例。首先定义远场E-probe,然后进行正常的天线仿真。之后的保真度计算也是这个probe位置在某一个时刻最好地还原激励信号。

用后处理0Dor 1D Result from 1D Result, 选择1D(C) 复数结果,然后Cross-Correlation/Fidelity选项,归一化用XCORRNormalized,也就是cross-correlation互相关计算加归一化。两个对比时域信号选择激励信号i1,和探针信号。

然后运行后处理便得到互相关曲线,其中最大值便是保真度,图中为0.9968。最大值发生在0.518ns左右,意味着传播时间也为0.518ns。这里也推荐用同样后处理模板提取最大值,尤其是多个空间位置的参数扫描时。


另外,计算保真度时也常用信号的导数,也可以用后处理的Derivative计算出信号的导数,然后用同样后处理算保真度。

这里结果显示,两个信号算互相关性和用这两个信号的导数算互相关性是一样的。
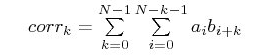
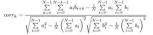
其实该后处理使用的就是VBA语句(详见帮助文档)CalculateCROSSCOR ( Result1D a, Result1D b, Result1D corr, bool bNorm )前两个参数为波形输入,第三个参数为互相关数列输出(注意输出采样有变),最后选择是否用归一化。不归一化:

归一化:

【推荐内容】

浙公网安备 33010602011771号