秦九韶算法
一.算法简介
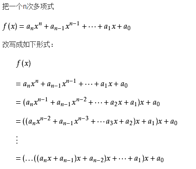
一般地,一元n次多项式的求值需要经过(n+1)*n/2次乘法和n次加法,而秦九韶算法只需要n次乘法和n次加法。在人工计算时,一次大大简化了运算过程。

二.算法应用
1.大整数取模(hdu 1212 Big Number)
(1)题意:给你一个长度不超过1000的大数A,还有一个数值不超过100000的B,快速求A % B。
(2)分析:由秦九昭算法可知,任意一个整数n = akak-1ak-2.......a2a1a0可以拆分为:
n = (((((ak)*10 + ak-1)*10 + ak-2)*10 + .......)*10 + a1)*10+a0
例如:1234 = ((1*10 + 2)*10 + 3)*10 + 4
则大整数取模就可以转化为n个多项式每步取模。
#include <iostream>
#include<bits/stdc++.h>
using namespace std;
const int maxn = 10000 + 7;
char str[maxn];
int Horner(int mod){//秦九昭算法
int len = strlen(str);
int ans = 0;
for(int i = 0;i<len;i++){
ans = (ans*10 + str[i] - '0')%mod;
}
return ans;
}
int main()
{
int mod;
while(scanf("%s%d",str,&mod)!=EOF){
int num = Horner(mod);
printf("%d\n",num);
}
return 0;
}

浙公网安备 33010602011771号