leetcode之94二叉树的中序遍历Golang
题目描述
给定一个二叉树的根节点 root ,返回它的 中序 遍历。
示例 1:

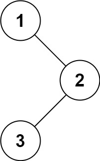
输入:root = [1,null,2,3]
输出:[1,3,2]
示例 2:
输入:root = []
输出:[]
示例 3:
输入:root = [1]
输出:[1]
示例 4:

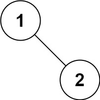
输入:root = [1,2]
输出:[2,1]
示例 5:

输入:root = [1,null,2]
输出:[1,2]
提示:
- 树中节点数目在范围
[0, 100]内 -100 <= Node.val <= 100
算法
如果采用递归的方式中序遍历二叉树,那么将会很简单,所以我们在这里采用迭代的方式中序遍历二叉树,在这里我们需要用到的数据结构是栈
而在go中,栈的使用是非常方便的
算法核心思想如下:
- 首先将二叉树的根结点入栈
- 判断栈顶的结点的左子树是否已经遍历完毕
- 已经遍历完毕:那么将栈顶结点的值保存到结果数组中,并且将栈顶结点弹出栈中,然后将该结点的右子树的根结点压入栈中
- 没有遍历完毕:那么将不将栈顶结点出栈,并且将栈顶结点的左子树的根结点压入栈中
- 当栈重新变为空栈的时候,整棵二叉树就已经遍历完成了
代码如下:
func inorderTraversal(root *TreeNode) []int {
// 中序遍历的顺序是左中右
// 本算法采用迭代的方法完成,采用的核心工具是栈
resArr := make([]int, 0)
if root == nil {
return resArr
}
stack := []*TreeNode{root}
flag := false
for len(stack) != 0 {
if flag {
rightChild := stack[len(stack)-1].Right
resArr = append(resArr, stack[len(stack)-1].Val)
stack = stack[:len(stack)-1]
// 说明有右子树,所以将右子树的根结点入栈
if rightChild != nil {
stack = append(stack, rightChild)
// 重新初始化标志,表示该根节点的左子树还没有遍历完
flag = false
}
continue
}
leftChild := stack[len(stack)-1].Left
if leftChild != nil {
stack = append(stack, leftChild)
continue
}
// 左子树为空,说明左子树已经遍历完毕
flag = true
}
return resArr
}
浙公网安备 33010602011771号