新旧图幅号的转换公式
1∶1万、1∶2.5万、1∶5万、1∶10万、1∶25万、1∶50万和1∶100万地形图是我国的国家基本比例尺地形图,其图幅编号现有两种形式,一种是1991年以前地形图分幅编号标准产生的,称为旧图幅编号,另一种是1991年以后新的国家地形图分幅编号标准所产生的,称为新图幅编号。在使用中就存在一个国家基本比例尺地形图新旧图幅编号之间的变换问题。本文通过对新旧图幅编号方法和规律的研究,提出了新旧图幅编号之间的变换公式。
一、新旧图幅编号的变换公式
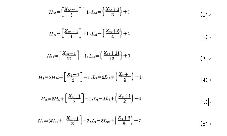
1. 旧图幅编号到新图幅编号的变换公式
这里,式(1)~式(6)分别是1∶50万~1∶1万地形图的图号变换公式,H50,H25,H10,H5,H2和H1分别是1∶50万~1∶1万地形图的新图幅编号中的行代码,取三位,不足三位前面用“0”补足,L50,L25,L10,L5,L2和L1分别是1∶50万~1∶1万地形图的新图幅编号中的列代码,取三位,不足三位用“0”补足,X50,X25,X10,X5。X2和X1分别是1∶50万~1∶1万地形图旧图幅编号中相应比例尺地形图的图幅代码值,简称图幅代码值,如1∶50万地形图的图幅代码是A,B,C和D,则按字母排列顺序赋值分别为1,2,3,4,其他比例尺地形图的图幅代码也照此处理,[]表示小数取整,()表示小数取余。
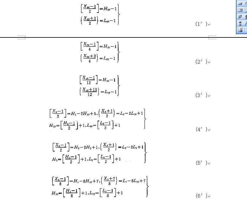
2. 新图幅编号到旧图幅编号的变换公式
这里,式(1′)~式(6′)分别是1∶50万~1∶1万地形图的图号变换公式,公式中各字母含义同上。

浙公网安备 33010602011771号