games101-2 线性代数(图形学)
1.图形学需要的基础
- 数学:线性代数,微积分,统计学
- 物理:光学,力学
- 其他:信号处理,数值分析
- 一点美学
2 线性代数
1 向量概念

2 vector normalization向量规范化

3 向量加法

向量的加法可以从两个角度去理解:
- 从几何的角度去理解:平行四边形法则和三角形法则
- 坐标系中相应的坐标相加
将向量表示成坐标的形式是非常有助于计算向量的长度的
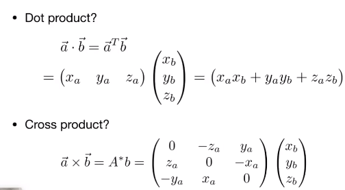
4 向量的点乘 Dot product
两个向量的点乘是一个数;
可以快速计算两个向量之间的夹角;
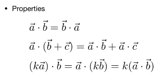
向量点乘的基本属性:

在直角坐标系中的计算公式如下:

向量点乘在图形学中的用法:
快速找到两个向量之间的夹角; 比如在一个向量投影到另外一个向量上什么样子的
可以计算两个向量方向接近程度:根据点乘的结果来判断是接近和远离;比如在高光渲染的时候就要用这个知识

向量点乘还可以给出一个前与后的信息:如果落在了上半圆就是接近,如果落在了下半圆就是远离。根据点乘的符号来判断,如果是正的,结果等于1就是相同,如果是-1是相向;


5 向量的叉乘 Cross product
向量叉乘的结果是一个向量!方向用右手螺旋定则确定(或者左手)
右手螺旋定则:
OpenGL中使用的是左手坐标系!
叉乘在图形学中的意义:
- 判断左和右
如下图:判断b在a的左边还是右边
用a叉乘b,得到的结果是正的,说明b在a的左侧
用b叉乘a,得到的结果是负的,说明b在a的右侧
- 判断里和外
判断P在三角形ABC的内部?
ABXAP,结果是正的,说明P在AB的左侧
BCXBP,结果是正的,说明P在AB的左侧
CAXPC,结果是正的,说明P在CA的左侧
所以P在三角形ABC的内部,
绕的顺序是AB-BC-CA,绕向逆时针和顺时针,也就是三个叉乘结果要嘛都是正的,要嘛都是负的
这个是三角形光栅化的基础,要知道三角形覆盖了哪些像素,判断像素是否在三角形内部;
6 正交坐标系

3 矩阵
1 概念
2 矩阵的乘积
3 矩阵相乘的特性
没有交换律
4 矩阵向量相乘
始终任务矩阵在左边,向量在右边
将向量看成是mx1的矩阵
点的变换就是基于这个知识点
5 矩阵的转置

6 单位矩阵
矩阵的逆
7 向量的乘积的矩阵形式
