吴恩达机器学习(1)单变量线性回归
- 模型
以波特兰市住房价格为例子来引出一个单变量的线性回归问题。给出在不同面积下的住房价格数据集,通过找出其中的相近函数来预测不同面积下的住房价格。如下图所示:
这个是一个监督学习问题,因为我们知晓了房子的面积以及相应面积下的住房价格;这也是一个回归的问题,我们需要预测一个实际的输出——房子的价格。另一个监督学习问题叫做分类问题,一般用来预测离散值输出。

这是不同面积下房价数据集,在下面的模型中,m是训练数据集的容量,x表示输入,y表示输出,i表示第几个数据。

我们要完成的就是通过假设一个面积与房价的线性函数,通过上面的数据集进行拟合,最终达到输入一个任意大小的面积就能预测房价的目的。大致的框架如下如所示:
在下图中,h就是我们需要假设的线性函数,右图中的θ0,θ1是待定数值,需要通过数据集训练得到。

- 代价函数
在前到讲到了,我们假设函数h(x)= θ0 + θ1x,其中θ0,θ1是这个模型需要变化的参数,同使用m个数据集进行训练,找到模型参数,使拟合的函数能满足房价回归的结果。
那么怎样才怎判断这个拟合函数的正确度呢?这里引入代价函数,这个代价函数的意思是通过我们假设h(x)求解的房价与原本的房价的方差的1/2m,我们的目的就是找到θ0,θ1的值使整个代价函数最小。
这个代价函数也叫平方误差函数。


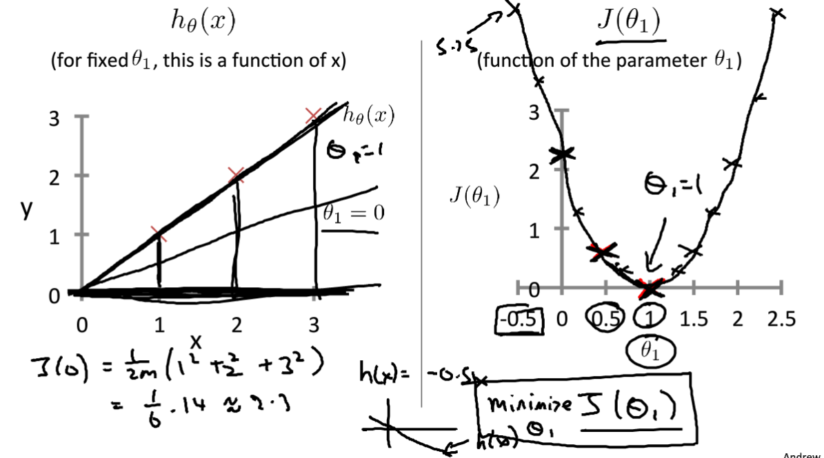
为了更好的理解这个过程,我们设定θ0 = 0,所以h(x) = θ1x。我们可以根据不同的θ1,来计算代价函数的值,如下图所示:
左图是根据不同的θ1确定的拟合函数计算输出值,右图是不同θ1下的代价函数计算值,最后可以得到大致的代价函数解析图,可以看到在θ1=1时候整个代价函数取值最小,这也是最后的解。

那么我们假设θ0不等于0,假设函数还是h(x)= θ0 + θ1x,根据理论,可以得到此时的代价函数的分布图:可以发现是一个三维的图。

我们可以采用等高线的形式来观察,同一个椭圆的代价函数值是相同的;我们可以看到同心椭圆的中心就是代价函数的最优点,左侧是拟合的一个函数,右侧是相应的代价函数输出点位置。左侧的预测函数并没有很好的拟合数据集,所以右侧相应的
代价函数值就离最优点较远。

- 梯度下降法
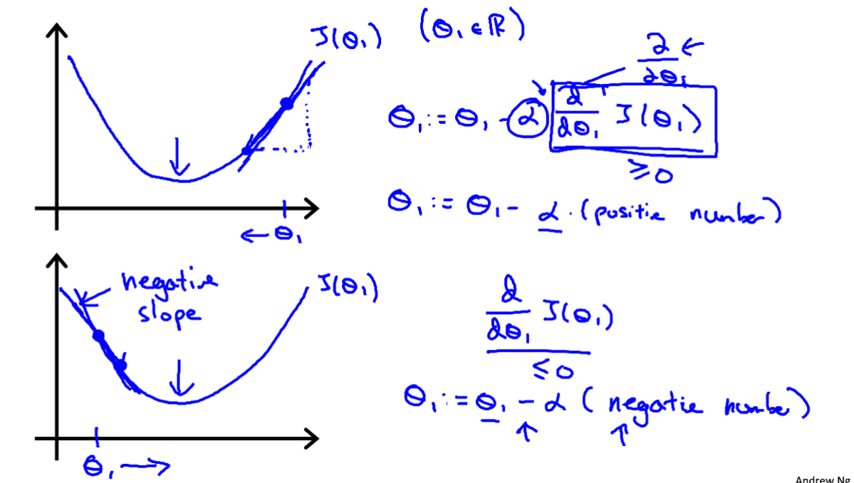
前面已经建立的拟合函数和代价函数,我们的目的就是找到使代价函数最小或者局部最小的θ0,θ1值。我们怎么才能达到这个目的呢, 我们这里使用梯度下降的方法来达到这个目的,这个方法被广泛应用到机器学习领域之中。梯度下降原理很简单,就是不停的改变θ0,θ1的值,让代价函数得到最小值或者局部最小值。首先我们来看看梯度下降是如何工作的:先初步定义θ0,θ1的值,如下图所示的最上面的点,从该点出发,找下降的方向一步一步下降,知道无法下降为止,此时的θ0,θ1值就是代价函数的最小值或者是局部最小值。

数学表达式:

梯度下降法就是把参数减去学习率与该参数的偏导数乘积,注意的是所有参数需要同时改变上图所示的右下图就是错误的例子。为了更好的理解可以选择只留下一个参数进行梯度下降展示:


- 学习率
观察上面的公式我们可以发现,整个梯度下降过程的快慢实际上取决于学习率的大小,学习率大,梯度下降的快,但可能会错过最优的结果;学习率小,梯度下降慢,但精确。
所以需要根据实际的情况选择合适的学习率。


浙公网安备 33010602011771号