管理经济学贴图

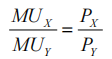
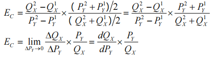
消费者均衡函数:

 

 

 

 

 

 

 

 

 

 

 

 

 

 

 

 

 

 

 

 

 

 

 

 

 

 

 

 

 

 

 

 

 

 

 

 

 

 

 

 

 

 

 

 

 

 

 

 

 

 

 

 

 

 

 

 

 

posted @ 2022-03-12 20:32  菜鸟2022  阅读(25)  评论(0)    收藏  举报