矩阵加速
A - Count
题意
题目就是中文,中翻中就没有必要了吧
思路
矩阵快速幂的入门模板题,掌握模板写一遍就可以了
代码
#include <bits/stdc++.h> using namespace std; typedef long long ll; const int N = 100; const ll mod = 123456789; struct node { ll a[6][6]; } A; node mul(node a, node b) { node x; memset(x.a, 0, sizeof(x.a)); for (int i = 0; i < 6; i++) for (int j = 0; j < 6; j++) for (int k = 0; k < 6; k++) x.a[i][j] = (x.a[i][j] + a.a[i][k] * b.a[k][j]) % mod; return x; } node ful(node a, ll n) { node r; memset(r.a, 0, sizeof(r.a)); for (int i = 0; i < 6; i++) r.a[i][i] = 1; while (n > 0) { if (n & 1) r = mul(r, a); n >>= 1; a = mul(a, a); } return r; } int main() { A = {1, 2, 1, 3, 3, 1, 1, 0, 0, 0, 0, 0, 0, 0, 1, 3, 3, 1, 0, 0, 0, 1, 2, 1, 0, 0, 0, 0, 1, 1, 0, 0, 0, 0, 0, 1}; int t; cin >> t; while (t--) { ll n; cin >> n; if (n < 3) { cout << n << endl; continue; } node a = ful(A, n - 2); cout << (a.a[0][0] * 2 + a.a[0][1] + a.a[0][2] * 8 + a.a[0][3] * 4 + a.a[0][4] * 2 + a.a[0][5]) % mod << endl; } return 0; }
B - Tr A
题意
水题
思路
套模板
代码
#include <bits/stdc++.h> using namespace std; const int mod = 9973; struct node { int m[10][10]; }; int n; node mul(node a, node b) { node x; memset(x.m, 0, sizeof(x.m)); for (int i = 0; i < n; i++) for (int j = 0; j < n; j++) for (int k = 0; k < n; k++) x.m[i][j] = (x.m[i][j] + a.m[i][k] * b.m[k][j]) % mod; return x; } node ful(node a, int n) { node r; memset(r.m, 0, sizeof(r.m)); for (int i = 0; i < 10; i++) r.m[i][i] = 1; while (n > 0) { if (n & 1) r = mul(r, a); n >>= 1; a = mul(a, a); } return r; } int main() { int t; cin >> t; while (t--) { int k; cin >> n >> k; node A; memset(A.m, 0, sizeof(A.m)); for (int i = 0; i < n; i++) for (int j = 0; j < n; j++) cin >> A.m[i][j]; A = ful(A, k); int ans = 0; for (int i = 0; i < n; i++) ans += A.m[i][i]; cout << ans % mod << endl; } return 0; }
C - A Simple Math Problem
题意
Lele 现在正在考虑一个简单的函数 f(x)。
如果 x < 10 f(x) = x。
如果 x >= 10 f(x) = a0 * f(x-1) + a1 * f(x-2) + a2 * f(x-3) + …… + a9 * f(x-10);
而 ai(0<=i<=9) 只能是 0 或 1 。
现在,我将给出 a0 ~ a9 和两个正整数 k 和 m,你能帮助lele计算 f(k)%m。
思路
水题,按照题意构造矩阵就行了,最后计算乘于初始值有点麻烦,要注意
代码
#include <bits/stdc++.h> using namespace std; int mod; struct node { int m[10][10]; }; node mul(node a, node b) { node x; memset(x.m, 0, sizeof(x.m)); for (int i = 0; i < 10; i++) for (int j = 0; j < 10; j++) for (int k = 0; k < 10; k++) x.m[i][j] = (x.m[i][j] + a.m[i][k] * b.m[k][j]) % mod; return x; } node ful(node a, int k) { node r; memset(r.m, 0, sizeof(r.m)); for (int i = 0; i < 10; i++) r.m[i][i] = 1; while (k > 0) { if (k & 1) r = mul(r, a); k >>= 1; a = mul(a, a); } return r; } int main() { int n; while (scanf("%d%d", &n, &mod) != EOF) { int a1[10]; for (int i = 0; i < 10; i++) cin >> a1[i]; node A; A = {a1[0], a1[1], a1[2], a1[3], a1[4], a1[5], a1[6], a1[7], a1[8], a1[9], 1, 0, 0, 0, 0, 0, 0, 0, 0, 0, 0, 1, 0, 0, 0, 0, 0, 0, 0, 0, 0, 0, 1, 0, 0, 0, 0, 0, 0, 0, 0, 0, 0, 1, 0, 0, 0, 0, 0, 0, 0, 0, 0, 0, 1, 0, 0, 0, 0, 0, 0, 0, 0, 0, 0, 1, 0, 0, 0, 0, 0, 0, 0, 0, 0, 0, 1, 0, 0, 0, 0, 0, 0, 0, 0, 0, 0, 1, 0, 0, 0, 0, 0, 0, 0, 0, 0, 0, 1, 0}; if (n < 10) { int ans = 0; for (int i = 0; i < 10; i++) ans += (i * a1[i]); cout << ans << endl; continue; } A = ful(A, n - 9); int ans = 0; for (int i = 0; i < 10; i++) ans = (ans + A.m[0][i] * (9 - i)) % mod; cout << ans % mod << endl; } return 0; }
D - Queuing
题意
现在我们定义“f”是女性的缩写,“m”是男性的缩写。如果队列的长度为 L,则有 2 L个队列。例如,如果 L = 2,则它们是 ff, mm, fm, mf 。如果存在 fmf 或 fff 子队列,我们称其为 O-queue,否则为 E-queue。
你的任务是通过编写一个程序来计算长度为 L 的 E-queues mod M 的数量。
思路
构思巧妙的一道矩阵快速幂
我们设 f [ i ] 表示有 i 个人时有多少种方案。
我们考虑第n个位置
- 假设第 n 位为 m ,那前 n−1 位是什么都行,有 f [ n − 1 ]种方案。
- 假设第 n 位为 f,就有两种情况
- 第 n−1 位为 m,那 n−2位上一定要为m,第n−3位上就是随便选了,有f[n−3]种方案
- 第 n−1 位为 f,那 n−2位一定要为m,且第n−3位上也要为m,那第n−4位就随便选了,有 f[n−4]
综上所述,f[n]=f[n−1]+f[n−3]+f[n−4]
然后考虑矩阵加速

然后套矩阵快速幂就完了
代码
#include <bits/stdc++.h> using namespace std; int mod; struct node { int m[4][4]; }; node mul(node a, node b) { node x; memset(x.m, 0, sizeof(x.m)); for (int i = 0; i < 4; i++) for (int j = 0; j < 4; j++) for (int k = 0; k < 4; k++) x.m[i][j] = (x.m[i][j] + a.m[i][k] * b.m[k][j]) % mod; return x; } node ful(node a, int k) { node r; memset(r.m, 0, sizeof(r.m)); for (int i = 0; i < 4; i++) r.m[i][i] = 1; while (k > 0) { if (k & 1) r = mul(r, a); k >>= 1; a = mul(a, a); } return r; } int main() { int n; while (scanf("%d%d", &n, &mod) != EOF) { node A; A = {1, 0, 1, 1, 1, 0, 0, 0, 0, 1, 0, 0, 0, 0, 1, 0}; int a1[4] = {2, 4, 6, 9}; if (n < 4) { cout << a1[n - 1] << endl; continue; } A = ful(A, n - 4); int ans = 0; for (int i = 0; i < 4; i++) ans = (ans + A.m[0][i] * a1[3 - i]) % mod; cout << ans % mod << endl; } return 0; }
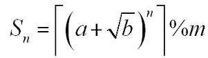
E - So Easy!
题意
求
思路
构思巧妙的一道矩阵快速幂,按如下方法推导一遍即可
这种方法适用许多类似的题,比如 Problem of Precision 要熟练掌握
代码
#include <bits/stdc++.h> using namespace std; typedef __int64 ll; int N = 400010; ll mod; typedef struct ddd { ll m[2][2]; } node; node get_1(node a, node b) { node x; memset(x.m, 0, sizeof(x.m)); for (int i = 0; i < 2; i++) for (int j = 0; j < 2; j++) for (int k = 0; k < 2; k++) x.m[i][j] = (x.m[i][j] + a.m[i][k] * b.m[k][j]) % mod; return x; } node solve(node a, ll n) { node r; memset(r.m, 0, sizeof(r.m)); for (int i = 0; i < 2; i++) r.m[i][i] = 1; while (n > 0) { if (n & 1) r = get_1(r, a); n >>= 1; a = get_1(a, a); } return r; } int main() { ll a, b; ll n; while (scanf("%lld%lld%lld%lld", &a, &b, &n, &mod) != EOF) { node A; A = {a, b, 1, a}; A = solve(A, n - 1); cout << (2 * (A.m[0][0] * a + A.m[0][1])) % mod << endl; } return 0; }