P13099 [FJCPC 2025] VERTeX 题解
P13099 [FJCPC 2025] VERTeX 题解
题目传送门
这里提供一种大常数无脑做法。
我们注意到每一条边限定其相邻两个节点。
在 \(N-1\) 条边全都给出后,各节点间的线性关系应都能确定下来。
此时我们可以设 \(1\) 号节点的权值为 \(k\),即可用 \(k\) 表示出所有节点的权值。
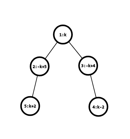
对于样例 \(2\) 即有如下图的表示

我们注意到所有节点的权值可分为 \(k+b (b \in \mathbb{R})\) 与 \(-k+b (b \in \mathbb{R})\) 两种表示,因此我们将其分为两个集合 \(S_0=\{x \mid x=-k+b\}\) 与 \(S_1=\{x \mid x=k+b\}\)
并定义
\[\begin{cases}
l_0=\min \limits_{x \in S_0} (x+k)\\
l_1=\min \limits_{x \in S_1} (x-k)\\
r_0=\max \limits_{x \in S_0} (x+k)\\
r_1=\max \limits_{x \in S_1} (x-k)
\end{cases}
\]
(其实就是取了常数部分)
易得 \(k\) 的取值合法当且仅当满足:
\[\begin{cases}
l_0-k>0\\
l_1+k>0\\
r_0-k<inf\\
r_1+k<inf
\end{cases}
\]
化简后即为
\[\max(-l_1,r_0-inf)<k<\min(l_0,inf-r_1)
\]
最后输出时钦定一个合法的 \(k\) 值即可。
点击查看代码
#include<bits/stdc++.h>
using namespace std;
const int N=2e5+10;
const int inf=1e9;
int n,k[2][N],l0=0x3f3f3f3f,l1=0x3f3f3f3f,r0=-0x3f3f3f3f,r1=-0x3f3f3f3f,kl,kr,kk;
vector<pair<int,int>> s[N];
pair<bool,int> o[N];
void dfs(int x,int fa){
for(auto p:s[x]){
if(p.first==fa) continue;
bool opt=o[x].first^1;
o[p.first].first=opt;
o[p.first].second=p.second-o[x].second;
k[opt][++k[opt][0]]=o[p.first].second;
dfs(p.first,x);
}
}
signed main(){
ios::sync_with_stdio(0);
cin.tie(0);
cin>>n;
for(int i=1,u,v,w;i<n;i++){
cin>>u>>v>>w;
s[u].push_back(make_pair(v,w));
s[v].push_back(make_pair(u,w));
}
o[1].first=1;
dfs(1,0);
for(int i=1;i<=k[0][0];i++) l0=min(l0,k[0][i]);
for(int i=1;i<=k[1][0];i++) l1=min(l1,k[1][i]);
for(int i=1;i<=k[0][0];i++) r0=max(r0,k[0][i]);
for(int i=1;i<=k[1][0];i++) r1=max(r1,k[1][i]);
kl=max(-l1,r0-inf);
kr=min(l0,inf-r1);
if((kl>=kr)||kr-1<=0){
cout<<"NO";
return 0;
}
cout<<"YES"<<'\n';
kk=kr-1;
for(int i=1;i<=n;i++) cout<<kk*(o[i].first ? 1 : -1)+o[i].second<<' ';
}

浙公网安备 33010602011771号