会员
周边
新闻
博问
闪存
众包
赞助商
Chat2DB
所有博客
当前博客
我的博客
我的园子
账号设置
会员中心
简洁模式
...
退出登录
注册
登录
gloomy1999
博客园
首页
新随笔
联系
订阅
管理
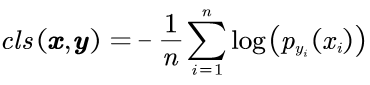
一句话总结多分类交叉熵损失
,其中x为logit,y为label,n为batch_size,
为logit(i,yi)的值,当logit经过softmax化处理后,cls为softmax loss。
posted @
2022-04-12 20:58
gloomy1999
阅读(
85
) 评论(
1
)
收藏
举报
刷新页面
返回顶部
公告