Python3及pip、numpy、Matplotlib等模块的安装和Numpy的心得体会
| 项目 | 内容 |
| 课程班级博客链接 | https://edu.cnblogs.com/campus/pexy/20sj |
| 作业链接 | https://edu.cnblogs.com/campus/pexy/20sj/homework/12540 |
| 博客名称 | 2003031105-官家园-python数据分析第三周作业-第一次作业 |
| 要求 | 每道题要有题目,代码(使用插入代码,不会插入代码的自己查资料解决,不要直接截图代码!!),截图(只截运行结果) |
题目一:扩展阅读心得体会
一. Python3及pip、numpy、Matplotlib等模块的安装
(1)容易出现的问题
python3在安装过程中,如果使用安装包进行下载有的电脑会被电脑自带的安全APP自动过滤,并且会在相应的应用商店自动选择下载。这种现象将会导致安装界面会与课本上的有点不同,而导致有些不知所措。
(2)解决该问题的方法
面对不同的安装版本虽有不同,但是相应安装的选项都是可以找到的。如果实在不确定安装的步骤,可以在个流量器上搜索相应版本的python3安装教程进行安装。后者是最有效的方法。
二.对Numpy的初步认识
从大一到现在的大二上学期学习到了好多的程序编译器,相比Visual Studio 编辑过程的繁琐,需要记住很多的知识点,Numpy比较简单易懂好编辑。而相比于spyder
需要精准的空格位置,Numpy比较随意。
题目二
实训一:
1.训练要点
(1)掌握Nuympy的数组的创建及随机数的生成。
(2)掌握Nuympy中用于统计分析的基本运算函数。
2.需求说明
Numpy数组在数值运算方面的效率优于python提供的list,所以灵活掌握numpy中数组的创建以及基础的运算是有必要的。
3.实现思路及步骤
(1)创建一个数值范围为0~1,间隔为0.01的数组。
(2)创建100个服从正态分布的随机数。
(3)对创建的两个数组进行四则运算。
(4)对创建的随机数组进行简单的统计分析。
题目二
实训一:
1.训练要点
(1)掌握Nuympy的数组的创建及随机数的生成。
(2)掌握Nuympy中用于统计分析的基本运算函数。
2.需求说明
Numpy数组在数值运算方面的效率优于python提供的list,所以灵活掌握numpy中数组的创建以及基础的运算是有必要的。
3.实现思路及步骤
(1)创建一个数值范围为0~1,间隔为0.01的数组。
(2)创建100个服从正态分布的随机数。
(3)对创建的两个数组进行四则运算。
(4)对创建的随机数组进行简单的统计分析。
题目二
实训一:
1.训练要点
(1)掌握Nuympy的数组的创建及随机数的生成。
(2)掌握Nuympy中用于统计分析的基本运算函数。
2.需求说明
Numpy数组在数值运算方面的效率优于python提供的list,所以灵活掌握numpy中数组的创建以及基础的运算是有必要的。
3.实现思路及步骤
(1)创建一个数值范围为0~1,间隔为0.01的数组。
(2)创建100个服从正态分布的随机数。
(3)对创建的两个数组进行四则运算。
(4)对创建的随机数组进行简单的统计分析。
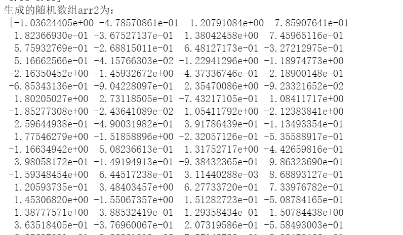
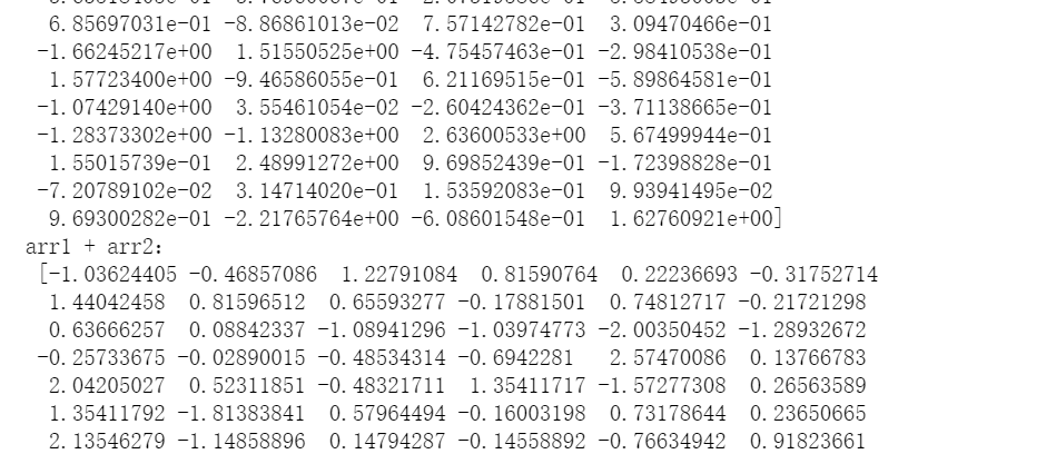
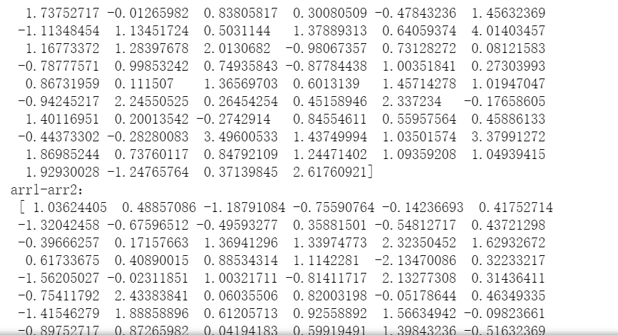
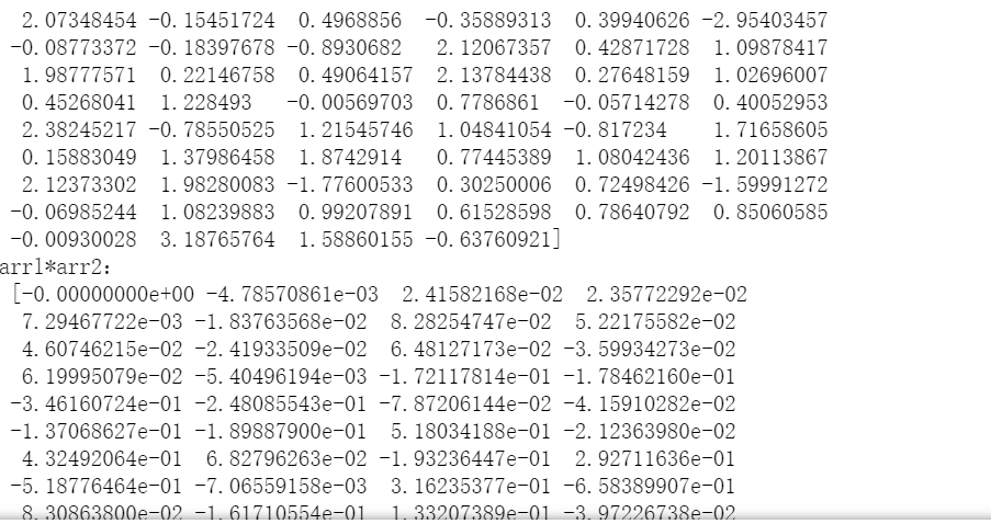
import numpy as np #1、创建一个数值范围为0~1,间隔为0.01的数组 arr1=np.arange(0,1,0.01) print("arange函数创建的数值范围为0~1间隔为0.01的数组arr1为:\n",arr1) #2、创建由100个服从正态分布的随机数构成的数组 arr2=np.random.randn(100) print('生成的随机数组arr2为:\n',arr2) #3、对创建的两个数组进行四则运算 print('arr1 + arr2:\n',arr1+arr2) print('arrl-arr2:\n',arr1-arr2) print('arrl*arr2:\n',arr1*arr2) print('arrl/arr2:\n',arr1/arr2) #print('arrl**arr2:\n',arr1**arr2) #4、对创建的数组进行简单的统计分析 print('正态分布数数组的累计和为:\n',np.cumsum(arr2))#计算所有元素的累计和 print('正态分布数去重后的值组为:\n',np.unique(arr2))#去除重复值 print('正态分布数组的均值为:',np.mean(arr2))#计算数组均值 print('正态分布数组的标准差为:',np.std(arr2))#计算数组标准差 print('正态分布数组的方差为:',np.var(arr2))#计算数组方差 print('正态分布数组的最小值为:',np.min(arr2))#计算最小值 print('正态分布数组的最大值为:',np.max(arr2))#计算最大值 print('正态分布数组的总和为:',np.sum(arr2))#计算数组总和
4.运行结果及截图










实训二
1.训练要点
(1)掌握矩阵创建方法。
(2)掌握数组索引的方法。
2.需求说明
创建国际象棋棋盘,填充8x8矩阵。国际象棋棋盘是个正方形,由横纵向8格、颜色一深一浅交错排列的64个小方格组成,深色格为黑格,浅色格为白格,棋子就在这些格子中移动,如图2-3所示。

3.实验思路及步骤
(1)创建一个8×8矩阵。
(2)把1、3、5、7行和2、4、6列的元素设置为1。
4.运行代码和截图
1 import numpy as np 2 matr1=np.ones((8,8)) 3 for i in range(8): 4 for j in range(8): 5 if(i+j)%2==0: 6 matr1[i,j]=0 7 print('国际棋盘对应的矩阵为:\n',matr1) 8 9 for i in range(0,8): 10 for j in range(0,8): 11 if matr1[i,j]==0: 12 print("□",end=' ') 13 else: 14 print("■", end=' ') 15 print('\n')

浙公网安备 33010602011771号