图论1
A.能量树
时间限制: 1000ms空间限制: 262144kB
题目描述
时间:1s 空间:256M
题目描述:
小信有 n 个节点的有根能量树,根为 1。最开始,树上每个节点的能量都是 0。
现在小信有 n 个能量球,第 i 个能量球拥有 vi 能量。她想把这 n 个能量球分别放置在能量树的每个节点上,使能量树的每个节点都恰好有一个能量球。
小信每次只能放置一个能量球,所以她将进行 n 次操作。每一次操作,她会选择一个能量球,再选择一个没有能量球的能量树节点 x,把刚刚选择的能量球放置在节点 x 上。在这之后,小信能获得以 x 为根的子树中的所有能量球的能量 (包括节点 x 的能量球能量)。
在放置完所有能量球后,小信可能获得的总能量最多是多少?
输入格式:
第一行包含一个整数 n (1≤n≤2⋅10^5)。
第二行包含 n−1 个整数 2,3,…,f2,f3,…,fn (1≤fi≤i−1),表示节点 i 的父亲是 fi。
第三行包含 n 个整数 1,2,…,v1,v2,…,vn (1≤vi≤10^5),分别表示能量球的能量。
输出格式:
输出一个整数,表示小信可能获得的最多总能量。
样例输入:
5 1 1 3 3 1 1 2 2 3
样例输出:
22
提示:
样例解释:

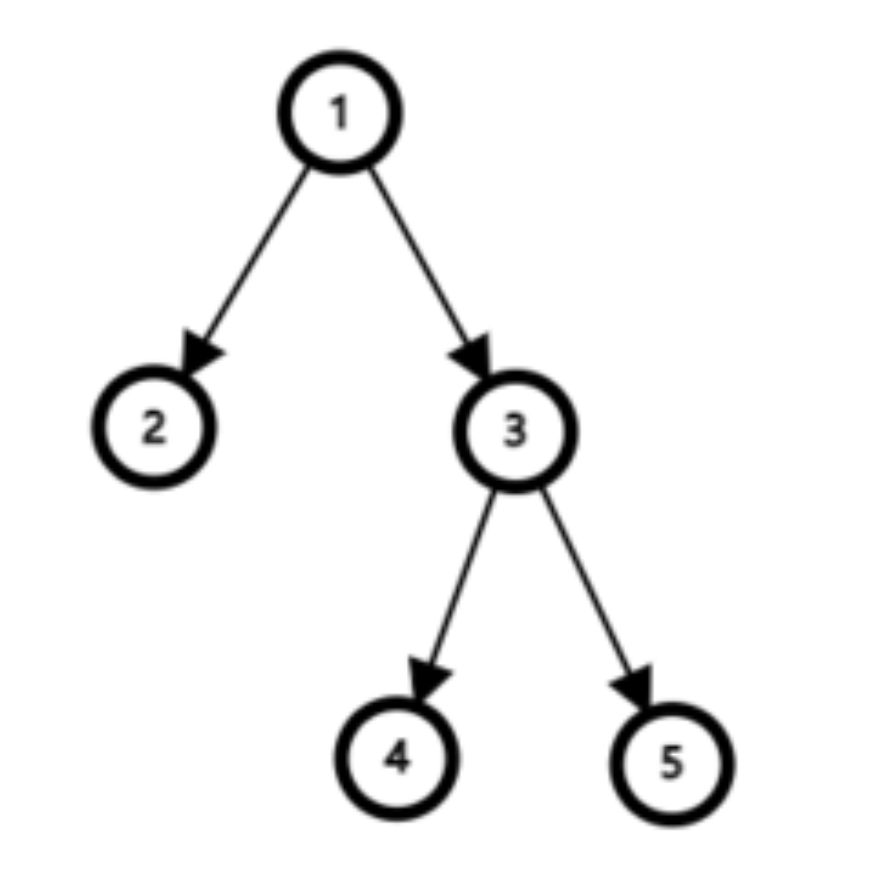
能量树如图所示。
第一次操作,小信选择 3 号能量球,它的能量为 2,把它放置在节点 2。在这之后,小信能获得节点 2 中能量球的能量,共 2 能量。
第二次操作,小信选择 4 号能量球,它的能量为 2,把它放置在节点 5。在这之后,小信能获得节点 5 中能量球的能量,共 2 能量。
第三次操作,小信选择 5 号能量球,它的能量为 3,把它放置在节点 4。在这之后,小信能获得节点 4 中能量球的能量,共 3 能量。
第四次操作,小信选择 1 号能量球,它的能量为 1,把它放置在节点 3。在这之后,小信能获得节点 3, 4, 5 中能量球的能量,共 1+2+3=6 能量。
第五次操作,小信选择 2 号能量球,它的能量为 1,把它放置在节点 1。在这之后,小信能获得节点 1, 2, 3, 4, 5 中能量球的能量,共 1+2+1+2+3=9 能量。
所以小信总共获得了 2+2+3+6+9=22 能量。
操作方案不唯一,但可以证明没有操作能获得比 22 更多的总能量,所以答案为 22。
①DFS/BFS 求出每个点到根的距离,排序:大对大(大能量放离根结点远的点)
②求和
1 #include<bits/stdc++.h> 2 #define int long long 3 using namespace std; 4 const int N=2e5+10; 5 vector<int> q[N]; 6 int ar[N],n; 7 int f[N]; 8 vector<int> e; 9 bool st[N]; 10 int sum; 11 inline void dfs(int x){ 12 st[x]=true; 13 for(int i=0;i<q[x].size();i++){ 14 int xx=q[x][i]; 15 if(!st[xx]){ 16 dfs(xx); 17 f[x]+=f[xx]; 18 } 19 } 20 sum+=f[x]; 21 } 22 inline void bfs(int x){ 23 queue<int> p; 24 p.push(x); 25 st[x]=true; 26 while(!p.empty()){ 27 int t=p.front(); 28 p.pop(); 29 e.push_back(t); 30 for(int i=0;i<q[t].size();i++){ 31 int xx=q[t][i]; 32 if(!st[xx]){ 33 st[xx]=true; 34 p.push(xx); 35 } 36 } 37 } 38 } 39 inline void solve(){ 40 cin>>n; 41 for(int i=2;i<=n;i++){ 42 int a; 43 cin>>a; 44 q[i].push_back(a); 45 q[a].push_back(i); 46 } 47 for(int i=1;i<=n;i++) cin>>ar[i]; 48 sort(ar+1,ar+1+n); 49 bfs(1); 50 for(int i=0;i<n;i++) f[e[i]]=ar[i+1]; 51 memset(st,0,sizeof st); 52 dfs(1); 53 cout<<sum<<"\n"; 54 } 55 signed main(){ 56 solve(); 57 return 0; 58 }
B.旅游路线的数量
时间限制: 2000ms空间限制: 262144kB
题目描述
时间:2s 空间:256M
题目描述:
一个国家有 n 个城市,城市与城市之间有一些道路,总共有 m 条。
小信在城市 1 ,他想知道从城市 1 出发,有多少条不同的旅游线路,并且要求旅游线路中不能经过同一个城市两次。
可能有很多这样的旅游线路,如果超过 10^6 条,你只需要告诉小信有 10^6 条即可。
输入格式:
第一行包含两个整数 n, m (1≤n≤2⋅10^5, 0≤m≤min(2⋅10^5,n⋅(n−1)/2))。
接下来 m 行,每行两个整数 ui ,vi (1≤ui,vi≤n),表示城市 u 与 城市 v 之间有一条无向道路。
保证没有重边和自环。
输出格式:
对于每组测试数据,输出一个整数表示答案。
样例1输入:
4 2 1 2 2 3
样例1输出:
3
样例2输入:
4 6 1 2 1 3 1 4 2 3 2 4 3 4
样例2输出:
16
样例3输入:
8 21 2 6 1 3 5 6 3 8 3 6 4 7 4 6 3 4 1 5 2 4 1 2 2 7 1 4 3 5 2 5 2 3 4 5 3 7 6 7 5 7 2 8
样例3输出:
2023
拿样例一举例:
1
1,2
1,3
1,4
1,2,3
1,3,2
1,3,4
1,4,3
1,2,4
1,4,2
1,2,3,4
1,3,2,4
1,4,2,3
1,2,4,3
1,3,4,2
1,4,3,2
共16种
1 #include<bits/stdc++.h> 2 #define int long long 3 using namespace std; 4 const int N=2e5+10; 5 int n,m; 6 vector<int> q[N]; 7 int dist[N]; 8 int res=0; 9 bool st[N]; 10 inline void dfs(int x){ 11 res++; 12 st[x]=true; 13 if(res>=1000000){ 14 puts("1000000"); exit(0); 15 } 16 for(int i=0;i<q[x].size();i++){ 17 int e=q[x][i]; 18 if(!st[e]){ 19 dfs(e); 20 } 21 } 22 st[x]=false; 23 } 24 inline void solve(){ 25 cin>>n>>m; 26 for(int i=1;i<=m;i++){ 27 int a,b; 28 cin>>a>>b; 29 q[a].push_back(b); 30 q[b].push_back(a); 31 } 32 dfs(1); 33 cout<<res<<"\n"; 34 } 35 signed main(){ 36 solve(); 37 return 0; 38 }
C.小信跳房子
时间限制: 1000ms空间限制: 262144kB
题目描述
时间:1s 空间:256M
题目描述:
小信在玩跳房子游戏,已知跳房子游戏的图表现为一颗完美的具有2^(10^100)−1个节点的二叉树。从根节点依次编号为1,2,...,2^(10^100)−1。节点(1≤i≤2^(10^100)−1)的左子节点编号为2i,右子节点编号为2i+1。
小信从从节点x出发,共n步,用一个长度为n的字符串表示小信的移动方向,“U”表示跳到当前所在节点的父节点,“L”表示跳到当前节点的左子节点,“R”表示跳到当前节点的右子节点。
输出小信在跳了n步之后所处的节点编号,保证最终答案不超过10^18。
提示:在跳的过程中节点编号可能超过10^18。
输入格式:
第一行包含两个整数\n,x,表示小信移动次数和初始所在节点编号。
第二行包含一个只含“U”,“L”和“R”的长为n的字符串S。
输出格式:
输出一个整数,表示小信在跳了n步之后所处的节点编号。
样例1输入:
3 2 URL
样例1输出:
6
样例2输入:
6 500000000000000000 RRRUUU
样例2输出:
500000000000000000
约定与提示:
对于100%的数据,1≤n≤10^6;1≤x≤10^18。
样例1:小信的移动路径是2 -> 1 -> 3 -> 6
1 #include<bits/stdc++.h> 2 #define int long long 3 using namespace std; 4 const int N=1e6+10; 5 int n,x; 6 char ar[N]; 7 bool st[N]; 8 inline void solve(){ 9 cin>>n>>x; 10 for(int i=1;i<=n;i++){ 11 cin>>ar[i]; 12 } 13 stack<int> q; 14 for(int i=n;i>=1;i--){ 15 if(ar[i]=='U') q.push(i); 16 else{ 17 if(!q.empty()){ 18 st[q.top()]=true; 19 q.pop(); 20 st[i]=true; 21 } 22 } 23 } 24 for(int i=1;i<=n;i++){ 25 if(!st[i]){ 26 if(ar[i]=='U') x/=2; 27 else if(ar[i]=='L') x*=2; 28 else x=x*2+1; 29 } 30 } 31 cout<<x<<"\n"; 32 } 33 signed main(){ 34 solve(); 35 return 0; 36 }
D.虫族据点
时间限制: 1000ms空间限制: 524288kB
题目描述
题目描述
阿斯罗菲克帝国南疆毗邻幽暗森林,其中虫豸横行。
帝宫总管萨拉温格探查发现,虫族似乎已经在森林中建立了 n 个据点,在这些据点之间还有 m 条道路 (双向道路) 供虫族通行。萨拉温格还发现,若 k 个据点之间两两相连,且这 k 个据点与其它任何一个据点都没有道路相连,则这 k 个据点中必然居住了一名虫族大祭司。不论这个 k 是多少,哪怕 k=1,也一定有一名大祭司。
请问总共有几名大祭司。
输入格式
第一行两个整数 n 和 m,接下来 m 行每行两个整数表示一条已经存在的路径。
输出格式
输出一行一个整数,表示大祭司的数量。
样例输入1
6 4 0 1 0 2 1 2 3 4
样例输出1
3
0-1-2,3-4,5 各有一名大祭司。
样例输入2
6 5 0 1 0 2 1 2 3 4 3 5
样例输出2
1
0-1-2 有一名大祭司。
数据规模
1≤n≤100
1 #include<bits/stdc++.h> 2 using namespace std; 3 const int N=110; 4 vector<int> q[N]; 5 int n,m; 6 bool st[N]; 7 vector<int> p; 8 int ar[N],br[N]; 9 int cr[N]; 10 inline void dfs(int x){ 11 st[x]=true; 12 p.push_back(x); 13 for(int i=0;i<q[x].size();i++){ 14 int e=q[x][i]; 15 if(!st[e]){ 16 dfs(e); 17 } 18 } 19 } 20 inline void solve(){ 21 cin>>n>>m; 22 for(int i=1;i<=m;i++){ 23 int a,b; 24 cin>>a>>b;a+=1;b+=1; 25 q[a].push_back(b); 26 q[b].push_back(a); 27 cr[a]++;cr[b]++; 28 } 29 int res=0; 30 for(int i=1;i<=n;i++){ 31 if(!st[i]){ 32 p.clear(); 33 dfs(i); 34 int flag=0; 35 int xx=p.size(); 36 for(int j=0;j<xx;j++){ 37 if(cr[p[j]]!=xx-1) flag=1; 38 } 39 if(!flag) res++; 40 } 41 } 42 cout<<res; 43 } 44 signed main(){ 45 solve(); 46 return 0; 47 }

浙公网安备 33010602011771号