4-1-二叉树及其遍历 树的同构
4-1-二叉树及其遍历 树的同构 (25分)
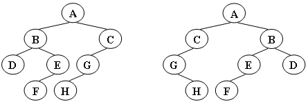
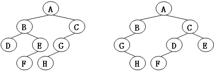
给定两棵树T1和T2。如果T1可以通过若干次左右孩子互换就变成T2,则我们称两棵树是“同构”的。例如图1给出的两棵树就是同构的,因为我们把其中一棵树的结点A、B、G的左右孩子互换后,就得到另外一棵树。而图2就不是同构的。

图1

图2
现给定两棵树,请你判断它们是否是同构的。
输入格式:
输入给出2棵二叉树树的信息。对于每棵树,首先在一行中给出一个非负整数N (≤),即该树的结点数(此时假设结点从0到N−1编号);随后N行,第i行对应编号第i个结点,给出该结点中存储的1个英文大写字母、其左孩子结点的编号、右孩子结点的编号。如果孩子结点为空,则在相应位置上给出“-”。给出的数据间用一个空格分隔。注意:题目保证每个结点中存储的字母是不同的。
输出格式:
如果两棵树是同构的,输出“Yes”,否则输出“No”。
输入样例1(对应图1):
8
A 1 2
B 3 4
C 5 -
D - -
E 6 -
G 7 -
F - -
H - -
8
G - 4
B 7 6
F - -
A 5 1
H - -
C 0 -
D - -
E 2 -
输出样例1:
Yes
输入样例2(对应图2):
8
B 5 7
F - -
A 0 3
C 6 -
H - -
D - -
G 4 -
E 1 -
8
D 6 -
B 5 -
E - -
H - -
C 0 2
G - 3
F - -
A 1 4
输出样例2:
No
这道题目的解答思路其实不难,主要分为三步
-------------------------------------------------------------------------------
I.表示二叉树的方法:结构体数组,静态链表
-----------------------------------------------------------------------------
II.题目并没有说第一个输入的就是根节点,所以要找到根节点,
每个儿子都有一个连向父亲节点的边,
那么就说明只要他是儿子节点他就有连向父亲的边,
根节点没有父亲,也不会出现在别人的左右子树里面
所以根节点是唯一不会出现在别人左右子树的节点,
我们在输入数据的时候,用一个check数组判断该节点是否出现
如果没有出现那么就是根节点
--------------------------------------------------------------------------------------
III.判断两棵树是否同构,因为树的定义本身就是递归定义的,
如果两棵树同构,显然,他们的左右孩子其中必然也有,
两两同构,这就是一个递归的问题了,
#include<cstdio> #include <iostream> using namespace std; #define Tree int #define Null -1 struct TreeNode { char element; Tree left,right; }; TreeNode t1[10],t2[10]; //建树,找根 Tree BuildTree (TreeNode* T) { int n,Root; scanf("%d",&n); bool check[n]; if(!n)return Null; char ele,l,r; for(int i=0; i<n; i++)check[i]=false; for(int i=0; i<n; i++) { scanf("%c",&ele); scanf("%c %c %c",&ele,&l,&r); T[i].element=ele; if(l!='-') { T[i].left=l-'0'; check[T[i].left]=true; } else { T[i].left=Null; } if(r!='-') { T[i].right=r-'0'; check[T[i].right]=true; } else { T[i].right=Null; } } for(int i=0; i<n; i++) { if(!check[i]) { Root=i; break; } } return Root; } //递归判断同构 bool Isomorphic(Tree r1,Tree r2) { if(r1==Null&&r2==Null) { return true; } if((r1==Null&&r2!=Null)||(r1!=Null&&r2==Null)) { return false; } if(t1[r1].element!=t2[r2].element)return false; if(t1[r1].left==Null&&t2[r2].left==Null) { return Isomorphic(t1[r1].right,t2[r2].right); } if((t1[r1].left!=Null&&t2[r2].left!=Null)&&t1[t1[r1].left].element==t2[t2[r2].left].element) { return Isomorphic(t1[r1].left,t2[r2].left)&&Isomorphic(t1[r1].right,t2[r2].right); } else { return Isomorphic(t1[r1].left,t2[r2].right)&&Isomorphic(t1[r1].right,t2[r2].left); } } int main() { int r1,r2; r1=BuildTree(t1); r2=BuildTree(t2); if(Isomorphic(r1,r2))printf("Yes"); else printf("No"); return 0; }
我是一颗水灵灵的大白菜,
农民伯伯辛勤的耕种着我,
把我带到了菜市场
拿着喷头对着我浇水,
还一边说“好菜啊好菜”

浙公网安备 33010602011771号