算法模型补充
目录
-
-
SVM模型
-
K均值聚类
-
DBSCAN聚类
- GBDT模型
贝叶斯模型
通过已知类别的训练数据集,计算样本的先验概率
然后利⽤⻉叶斯概率公式测算未知类别样本属于某个类别的后验概率
最终以最⼤后验概率所对应的类别作为样本的预测值
内部三大分类器
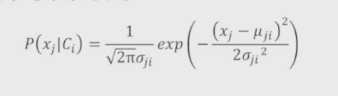
1.高斯贝叶斯分类器
适用于自变量为连续的数值类型的情况

示例

求解:
步骤一

步骤二

步骤三

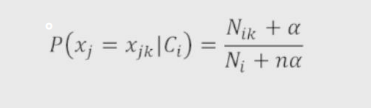
2.多项式贝叶斯分类器
适用于自变量为离散型类型的情况(非数字类型)

示例

求解
步骤一

步骤二

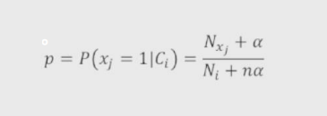
3.伯努利贝叶斯分类器
适用于自变量为二元值的情况

示例

求解
步骤一

步骤二

贝叶斯分类器实战案例
⾼斯⻉叶斯—⽪肤识别
步骤一
# 导入第三方包 import pandas as pd # 读入数据 skin = pd.read_excel(r'Skin_Segment.xlsx') skin # 设置正例和负例 skin.y = skin.y.map({2:0,1:1}) # 设置一个映射关系,将2映射成0 skin.y.value_counts()

步骤二
# 导入第三方模块 from sklearn import model_selection # 样本拆分 X_train,X_test,y_train,y_test = model_selection.train_test_split(skin.iloc[:,:3], skin.y, test_size = 0.25, random_state=1234) # 导入第三方模块 from sklearn import naive_bayes # 调用高斯朴素贝叶斯分类器的“类” gnb = naive_bayes.GaussianNB() # 模型拟合 gnb.fit(X_train, y_train) # 模型在测试数据集上的预测 gnb_pred = gnb.predict(X_test) # 各类别的预测数量 pd.Series(gnb_pred).value_counts()

步骤三
# 导入第三方包 from sklearn import metrics import matplotlib.pyplot as plt import seaborn as sns # 构建混淆矩阵 cm = pd.crosstab(gnb_pred,y_test) # 绘制混淆矩阵图 sns.heatmap(cm, annot = True, cmap = 'GnBu', fmt = 'd') # 去除x轴和y轴标签 plt.xlabel('Real') plt.ylabel('Predict') # 显示图形 plt.show() print('模型的准确率为:\n',metrics.accuracy_score(y_test, gnb_pred)) print('模型的评估报告:\n',metrics.classification_report(y_test, gnb_pred))

步骤四
# 计算正例的预测概率,用于生成ROC曲线的数据 y_score = gnb.predict_proba(X_test)[:,1] fpr,tpr,threshold = metrics.roc_curve(y_test, y_score) # 计算AUC的值 roc_auc = metrics.auc(fpr,tpr) # 绘制面积图 plt.stackplot(fpr, tpr, color='steelblue', alpha = 0.5, edgecolor = 'black') # 添加边际线 plt.plot(fpr, tpr, color='black', lw = 1) # 添加对角线 plt.plot([0,1],[0,1], color = 'red', linestyle = '--') # 添加文本信息 plt.text(0.5,0.3,'ROC curve (area = %0.2f)' % roc_auc) # 添加x轴与y轴标签 plt.xlabel('1-Specificity') plt.ylabel('Sensitivity') # 显示图形 plt.show()

多项式⻉叶斯—毒蘑菇识别
步骤一

步骤二
# 将字符型数据作因子化处理,将其转换为整数型数据 columns = mushrooms.columns[1:] for column in columns: mushrooms[column] = pd.factorize(mushrooms[column])[0] mushrooms.head()

步骤三
from sklearn import model_selection # 将数据集拆分为训练集合测试集 Predictors = mushrooms.columns[1:] X_train,X_test,y_train,y_test = model_selection.train_test_split(mushrooms[Predictors], mushrooms['type'], test_size = 0.25, random_state = 10) from sklearn import naive_bayes from sklearn import metrics import seaborn as sns import matplotlib.pyplot as plt # 构建多项式贝叶斯分类器的“类” mnb = naive_bayes.MultinomialNB() # 基于训练数据集的拟合 mnb.fit(X_train, y_train) # 基于测试数据集的预测 mnb_pred = mnb.predict(X_test) # 构建混淆矩阵 cm = pd.crosstab(mnb_pred,y_test) # 绘制混淆矩阵图 sns.heatmap(cm, annot = True, cmap = 'GnBu', fmt = 'd') # 去除x轴和y轴标签 plt.xlabel('Real') plt.ylabel('Predict') # 显示图形 plt.show() # 模型的预测准确率 print('模型的准确率为:\n',metrics.accuracy_score(y_test, mnb_pred)) print('模型的评估报告:\n',metrics.classification_report(y_test, mnb_pred))

步骤四
from sklearn import metrics # 计算正例的预测概率,用于生成ROC曲线的数据 y_score = mnb.predict_proba(X_test)[:,1] fpr,tpr,threshold = metrics.roc_curve(y_test.map({'edible':0,'poisonous':1}), y_score) # 计算AUC的值 roc_auc = metrics.auc(fpr,tpr) # 绘制面积图 plt.stackplot(fpr, tpr, color='steelblue', alpha = 0.5, edgecolor = 'black') # 添加边际线 plt.plot(fpr, tpr, color='black', lw = 1) # 添加对角线 plt.plot([0,1],[0,1], color = 'red', linestyle = '--') # 添加文本信息 plt.text(0.5,0.3,'ROC curve (area = %0.2f)' % roc_auc) # 添加x轴与y轴标签 plt.xlabel('1-Specificity') plt.ylabel('Sensitivity') # 显示图形 plt.show()

伯努利⻉叶斯—情感分析
步骤一

步骤二

步骤三
import jieba # 加载自定义词库 jieba.load_userdict(r'all_words.txt') # 读入停止词 with open(r'mystopwords.txt', encoding='UTF-8') as words: stop_words = [i.strip() for i in words.readlines()] # 构造切词的自定义函数,并在切词过程中删除停止词 def cut_word(sentence): words = [i for i in jieba.lcut(sentence) if i not in stop_words] # 切完的词用空格隔开 result = ' '.join(words) return(result) # 对评论内容进行批量切词 words = evaluation.Content.apply(cut_word) # 前5行内容的切词效果 words[:5]

步骤四
# 导入第三方包 from sklearn.feature_extraction.text import CountVectorizer # 计算每个词在各评论内容中的次数,并将稀疏度为99%以上的词删除 counts = CountVectorizer(min_df = 0.01) # 文档词条矩阵 dtm_counts = counts.fit_transform(words).toarray() # 矩阵的列名称 columns = counts.get_feature_names() # 将矩阵转换为数据框--即X变量 X = pd.DataFrame(dtm_counts, columns=columns) # 情感标签变量 y = evaluation.Type X.head()

步骤五
from sklearn import model_selection from sklearn import naive_bayes from sklearn import metrics import matplotlib.pyplot as plt import seaborn as sns # 将数据集拆分为训练集和测试集 X_train,X_test,y_train,y_test = model_selection.train_test_split(X,y,test_size = 0.25, random_state=1) # 构建伯努利贝叶斯分类器 bnb = naive_bayes.BernoulliNB() # 模型在训练数据集上的拟合 bnb.fit(X_train,y_train) # 模型在测试数据集上的预测 bnb_pred = bnb.predict(X_test) # 构建混淆矩阵 cm = pd.crosstab(bnb_pred,y_test) # 绘制混淆矩阵图 sns.heatmap(cm, annot = True, cmap = 'GnBu', fmt = 'd') # 去除x轴和y轴标签 plt.xlabel('Real') plt.ylabel('Predict') # 显示图形 plt.show() # 模型的预测准确率 print('模型的准确率为:\n',metrics.accuracy_score(y_test, bnb_pred)) print('模型的评估报告:\n',metrics.classification_report(y_test, bnb_pred))

步骤六
# 计算正例Positive所对应的概率,用于生成ROC曲线的数据 y_score = bnb.predict_proba(X_test)[:,1] fpr,tpr,threshold = metrics.roc_curve(y_test.map({'Negative':0,'Positive':1}), y_score) # 计算AUC的值 roc_auc = metrics.auc(fpr,tpr) # 绘制面积图 plt.stackplot(fpr, tpr, color='steelblue', alpha = 0.5, edgecolor = 'black') # 添加边际线 plt.plot(fpr, tpr, color='black', lw = 1) # 添加对角线 plt.plot([0,1],[0,1], color = 'red', linestyle = '--') # 添加文本信息 plt.text(0.5,0.3,'ROC curve (area = %0.2f)' % roc_auc) # 添加x轴与y轴标签 plt.xlabel('1-Specificity') plt.ylabel('Sensitivity') # 显示图形 plt.show()

超平面
将样本点划分成不同的类别(三种表现形式:点、线、面)

超平面最优解
1.先随机选择一条直线 2.分别计算两边距离,该直线最短的点距离,然后取更小的距离 3.以该距离左右两边做分隔带 4.依次直线上述三个步骤得出N多个分隔带而最优的就是分隔带最宽的

分割带
代表了模型划分样本点的能⼒或可信度
分割带越宽,说明模型能够将样本点划分得越清晰
进⽽保证模型泛化能⼒越强,分类的可信度越⾼,反之亦然

线性可分与非线性可分
线性可分:简单的理解为就是一条直线划分类别
非线性可分:一条直线无法直接划分 需要升一个维度在做划分

核函数
1.线性核函数 2.多项式核函数 3.高斯核函数 4.Sigmoid核函数

SVM模型实战
⼿写体字⺟的识别
步骤一

步骤二

步骤三

K值的求解(K表示分成几类)
1.拐点法
计算不同K值下类别中离差平方和

2.轮廓系数法
计算轮廓系数

iris聚类--已知k值的情况
# 绘制聚类效果的散点图 sns.lmplot(x = 'Petal_Length', y = 'Petal_Width', hue = 'cluster', markers = ['^','s','o'], data = X, fit_reg = False, scatter_kws = {'alpha':0.8}, legend_out = False) plt.scatter(centers[:,2], centers[:,3], marker = '*', color = 'black', s = 130) plt.xlabel('花瓣⻓度') plt.ylabel('花瓣宽度') # 图形显示 plt.show() # 增加⼀个辅助列,将不同的花种映射到0,1,2三种值,⽬的是⽅便后⾯图形的对⽐ iris['Species_map'] = iris.Species.map({'virginica':0,'setosa':1,'versicolor':2}) # 绘制原始数据三个类别的散点图 sns.lmplot(x = 'Petal_Length', y = 'Petal_Width', hue = 'Species_map', data = iris, markers = ['^','s','o'],fit_reg = False, scatter_kws = {'alpha':0.8}, legend_out = False) plt.xlabel('花瓣⻓度') plt.ylabel('花瓣宽度') # 图形显示 plt.show()

NBA球员聚类--未知k值的情况
步骤一
# 数据标准化处理 X = preprocessing.minmax_scale(players[['得分','罚球命中率','命中率','三分命中率']]) # 将数组转换为数据框 X = pd.DataFrame(X, columns=['得分','罚球命中率','命中率','三分命中率']) # 使⽤拐点法选择最佳的K值 k_SSE(X, 15) # 调⽤⾃定义函数,使⽤轮廓系数选择最佳的K值 k_silhouette(X, 15)

步骤二
# 将球员数据集聚为3类 kmeans = KMeans(n_clusters = 3) kmeans.fit(X) # 将聚类结果标签插⼊到数据集players中 players[‘cluster’] = kmeans.labels_ # 构建空列表,⽤于存储三个簇的簇中⼼ centers = [] for i in players.cluster.unique(): centers.append(players.ix[players.cluster == i,['得分','罚球命中率','命中率','三分命中率']].mean()) # 将列表转换为数组,便于后⾯的索引取数 centers = np.array(centers) # 绘制散点图 sns.lmplot(x = ‘得分’,y=‘命中率’,hue=‘cluster',data=players,markers=['^','s','o fit_reg=False,scatter_kws={‘alpha’:0.8},legend=False) # 添加簇中⼼ plt.scatter(centers[:,0],centers[:,2],c=‘k’,marker=’*’,s=180) plt.xlabel('得分') plt.ylabel('命中率') # 图形显示 plt.show()

K均值聚类的两大缺点
1.聚类效果容易受到异常样本点的影响 2.无法准确的将非球形样本进行合理的聚类 '''可以采用密度聚类解决上述两个缺点'''
核心概念
1.核心对象:内部含有至少大于等于最少样本点的样本
2.非核心对象:内部少于最少样本点的样本

3.直接密度可达:在核心对象内部的样本点到核心对象的距离

4.密度可达:多个直接密度可达链接了多个核心对象(首尾点密度可达)

5.密度相连:两边的点由中间的核心对象分别密度可达

# 导入第三方模块 import pandas as pd import numpy as np from sklearn.datasets.samples_generator import make_blobs import matplotlib.pyplot as plt import seaborn as sns from sklearn import cluster # 模拟数据集 X,y = make_blobs(n_samples = 2000, centers = [[-1,-2],[1,3]], cluster_std = [0.5,0.5], random_state = 1234) # 将模拟得到的数组转换为数据框,用于绘图 plot_data = pd.DataFrame(np.column_stack((X,y)), columns = ['x1','x2','y']) # 设置绘图风格 plt.style.use('ggplot') # 绘制散点图(用不同的形状代表不同的簇) sns.lmplot('x1', 'x2', data = plot_data, hue = 'y',markers = ['^','o'], fit_reg = False, legend = False) # 显示图形 plt.show()

步骤二
# 导入第三方模块 from sklearn import cluster # 构建Kmeans聚类和密度聚类 kmeans = cluster.KMeans(n_clusters=2, random_state=1234) kmeans.fit(X) dbscan = cluster.DBSCAN(eps = 0.5, min_samples = 10) dbscan.fit(X) # 将Kmeans聚类和密度聚类的簇标签添加到数据框中 plot_data['kmeans_label'] = kmeans.labels_ plot_data['dbscan_label'] = dbscan.labels_ # 绘制聚类效果图 # 设置大图框的长和高 plt.figure(figsize = (12,6)) # 设置第一个子图的布局 ax1 = plt.subplot2grid(shape = (1,2), loc = (0,0)) # 绘制散点图 ax1.scatter(plot_data.x1, plot_data.x2, c = plot_data.kmeans_label) # 设置第二个子图的布局 ax2 = plt.subplot2grid(shape = (1,2), loc = (0,1)) # 绘制散点图(为了使Kmeans聚类和密度聚类的效果图颜色一致,通过序列的map“方法”对颜色作重映射) ax2.scatter(plot_data.x1, plot_data.x2, c=plot_data.dbscan_label.map({-1:1,0:2,1:0})) # 显示图形 plt.show()

步骤三
# 导入第三方模块 from sklearn.datasets.samples_generator import make_moons # 构造非球形样本点 X1,y1 = make_moons(n_samples=2000, noise = 0.05, random_state = 1234) # 构造球形样本点 X2,y2 = make_blobs(n_samples=1000, centers = [[3,3]], cluster_std = 0.5, random_state = 1234) # 将y2的值替换为2(为了避免与y1的值冲突,因为原始y1和y2中都有0这个值) y2 = np.where(y2 == 0,2,0) # 将模拟得到的数组转换为数据框,用于绘图 plot_data = pd.DataFrame(np.row_stack([np.column_stack((X1,y1)),np.column_stack((X2,y2))]), columns = ['x1','x2','y']) # 绘制散点图(用不同的形状代表不同的簇) sns.lmplot('x1', 'x2', data = plot_data, hue = 'y',markers = ['^','o','>'], fit_reg = False, legend = False) # 显示图形 plt.show()

步骤四
# 构建Kmeans聚类和密度聚类 kmeans = cluster.KMeans(n_clusters=3, random_state=1234) kmeans.fit(plot_data[['x1','x2']]) dbscan = cluster.DBSCAN(eps = 0.3, min_samples = 5) dbscan.fit(plot_data[['x1','x2']]) # 将Kmeans聚类和密度聚类的簇标签添加到数据框中 plot_data['kmeans_label'] = kmeans.labels_ plot_data['dbscan_label'] = dbscan.labels_ # 绘制聚类效果图 # 设置大图框的长和高 plt.figure(figsize = (12,6)) # 设置第一个子图的布局 ax1 = plt.subplot2grid(shape = (1,2), loc = (0,0)) # 绘制散点图 ax1.scatter(plot_data.x1, plot_data.x2, c = plot_data.kmeans_label) # 设置第二个子图的布局 ax2 = plt.subplot2grid(shape = (1,2), loc = (0,1)) # 绘制散点图(为了使Kmeans聚类和密度聚类的效果图颜色一致,通过序列的map“方法”对颜色作重映射) ax2.scatter(plot_data.x1, plot_data.x2, c=plot_data.dbscan_label.map({-1:1,0:0,1:3,2:2})) # 显示图形 plt.show()

示例二
步骤一
# 读取外部数据 Province = pd.read_excel(r'Province.xlsx') Province.head() # 绘制出生率与死亡率散点图 plt.scatter(Province.Birth_Rate, Province.Death_Rate, c = 'steelblue') # 添加轴标签 plt.xlabel('Birth_Rate') plt.ylabel('Death_Rate') # 显示图形 plt.show()

步骤二

步骤三
# 构建空列表,用于保存不同参数组合下的结果 res = [] # 迭代不同的eps值 for eps in np.arange(0.001,1,0.05): # 迭代不同的min_samples值 for min_samples in range(2,10): dbscan = cluster.DBSCAN(eps = eps, min_samples = min_samples) # 模型拟合 dbscan.fit(X) # 统计各参数组合下的聚类个数(-1表示异常点) n_clusters = len([i for i in set(dbscan.labels_) if i != -1]) # 异常点的个数 outliners = np.sum(np.where(dbscan.labels_ == -1, 1,0)) # 统计每个簇的样本个数 stats = str(pd.Series([i for i in dbscan.labels_ if i != -1]).value_counts().values) res.append({'eps':eps,'min_samples':min_samples,'n_clusters':n_clusters,'outliners':outliners,'stats':stats}) # 将迭代后的结果存储到数据框中 df = pd.DataFrame(res) df # 根据条件筛选合理的参数组合 df.loc[df.n_clusters == 3, :]

步骤四
%matplotlib # 中文乱码和坐标轴负号的处理 plt.rcParams['font.sans-serif'] = ['Microsoft YaHei'] plt.rcParams['axes.unicode_minus'] = False # 利用上述的参数组合值,重建密度聚类算法 dbscan = cluster.DBSCAN(eps = 0.801, min_samples = 3) # 模型拟合 dbscan.fit(X) Province['dbscan_label'] = dbscan.labels_ # 绘制聚类聚类的效果散点图 sns.lmplot(x = 'Birth_Rate', y = 'Death_Rate', hue = 'dbscan_label', data = Province, markers = ['*','d','^','o'], fit_reg = False, legend = False) # 添加省份标签 for x,y,text in zip(Province.Birth_Rate,Province.Death_Rate, Province.Province): plt.text(x+0.1,y-0.1,text, size = 8) # 添加参考线 plt.hlines(y = 5.8, xmin = Province.Birth_Rate.min(), xmax = Province.Birth_Rate.max(), linestyles = '--', colors = 'red') plt.vlines(x = 10, ymin = Province.Death_Rate.min(), ymax = Province.Death_Rate.max(), linestyles = '--', colors = 'red') # 添加轴标签 plt.xlabel('Birth_Rate') plt.ylabel('Death_Rate') # 显示图形 plt.show()

步骤五
# 导入第三方模块 from sklearn import metrics # 构造自定义函数,用于绘制不同k值和对应轮廓系数的折线图 def k_silhouette(X, clusters): K = range(2,clusters+1) # 构建空列表,用于存储个中簇数下的轮廓系数 S = [] for k in K: kmeans = cluster.KMeans(n_clusters=k) kmeans.fit(X) labels = kmeans.labels_ # 调用字模块metrics中的silhouette_score函数,计算轮廓系数 S.append(metrics.silhouette_score(X, labels, metric='euclidean')) # 中文和负号的正常显示 plt.rcParams['font.sans-serif'] = ['Microsoft YaHei'] plt.rcParams['axes.unicode_minus'] = False # 设置绘图风格 plt.style.use('ggplot') # 绘制K的个数与轮廓系数的关系 plt.plot(K, S, 'b*-') plt.xlabel('簇的个数') plt.ylabel('轮廓系数') # 显示图形 plt.show() # 聚类个数的探索 k_silhouette(X, clusters = 10)
步骤六
# 利用Kmeans聚类 kmeans = cluster.KMeans(n_clusters = 3) # 模型拟合 kmeans.fit(X) Province['kmeans_label'] = kmeans.labels_ # 绘制Kmeans聚类的效果散点图 sns.lmplot(x = 'Birth_Rate', y = 'Death_Rate', hue = 'kmeans_label', data = Province, markers = ['d','^','o'], fit_reg = False, legend = False) # 添加轴标签 plt.xlabel('Birth_Rate') plt.ylabel('Death_Rate') plt.show()
由多颗基础决策树组成 并且这些决策树彼此之间有先后关系

内部两大算法:
1.Adaboost算法
既可以解决分类问题,也可以解决预测问题
2.SMOTE算法
通过算法将比例较少的数据样本扩大

补充知识
# 有监督学习与无监督学习 1.有监督意思就是有明确需要研究的因变量Y 2.无监督意思就是没有明确需要研究的因变量Y # 算法 算法其实就是研究问题的解决方法


浙公网安备 33010602011771号