1.Zset类型
Redis有序集合zset与普通集合set非常相似,是一个没有重复元素的字符串集合。
不同之处是有序集合的每个成员都关联了一个评分( score),这个评分 ( score )被用来按照从最低分到最高分的方式排序集合中的成员。集合的成员是唯一的,但是评分可以是重复了。
因为元素是有序的,所以你也可以很快的根据评分( score )或者次序( position)来获取一个范围的元素。
访问有序集合的中间元素也是非常快的,因此你能够使用有序集合作为一个没有重复成员的智能列表。
3.Zset类型数据结构
SortedSet(zset)是Redis提供的一个非常特别的数据结构,一方面它等价于Java的数据结构Map,可以给每一个元素value赋予一个权重score,另一方面它又类似于TreeSet,内部的元素会按照权重score进行排序,可以得到每个元素的名次,还可以通过score的范围来获取元素的列表。
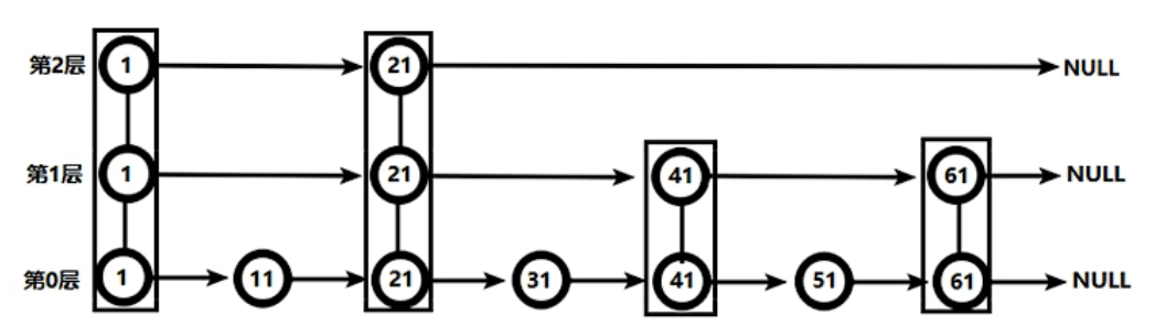
zset底层使用了两个数据结构
( 1 ) hash , hash 的作用就是关联元素value和权重score,保障元素value的唯—性,可以通过元素value找到相应的score值。
![]()
(2)跳跃表,跳跃表的目的在于给元素value排序,根据score的范围获取元素列表。
![]()
![]()
3.Zset类型常用命令
zadd key score1 value1 score2 value2.... 将一个或多个member元素及其score值加入到有序集key当中。
![]()
zrange key start stop [WITHSCORES] 。返回有序集key中,下标在start stop之间的元素,带WITHSCORES可以让分数一起和值返回到结果集,0 到 -1 表示取出所有
![]()
zrangebyscore key min max [withscores] [limit offset count]。
返回有序集 key中,所有score值介于min和max 之间(包括等于min或 max )的成员。有序集成员按score值递增(从小到大)次序排列。
![]()
zrevrangebyscore key max min [withscores] [limit offset count]。 同上,改为从大到小排列。
![]()
zincrby key increment value 为元素的score加上增量。
![]()
zrem key value 删除该集合下,指定值的元素。
![]()
zcount key min max 统计该集合,分数区间内的元素个数。
![]()
zrank key value 返回该值在集合中的排名,从0开始。
![]()
posted @
2022-08-06 19:41
别停
阅读(
52)
评论()
收藏
举报